

Abstract:We introduce a framework that allows for the construction of sequent systems for expressive description logics extending ALC. Our framework not only covers a wide array of common description logics, but also allows for sequent systems to be obtained for extensions of description logics with special formulae that we call "role relational axioms." All sequent systems are sound, complete, and possess favorable properties such as height-preserving admissibility of common structural rules and height-preserving invertibility of rules.




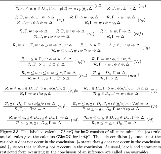
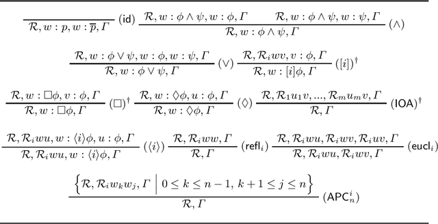
Abstract:This thesis introduces the "method of structural refinement", which serves as a means of transforming the relational semantics of a modal and/or constructive logic into an 'economical' proof system by connecting two proof-theoretic paradigms: labelled and nested sequent calculi. The formalism of labelled sequents has been successful in that cut-free calculi in possession of desirable proof-theoretic properties can be automatically generated for large classes of logics. Despite these qualities, labelled systems make use of a complicated syntax that explicitly incorporates the semantics of the associated logic, and such systems typically violate the subformula property to a high degree. By contrast, nested sequent calculi employ a simpler syntax and adhere to a strict reading of the subformula property, making such systems useful in the design of automated reasoning algorithms. However, the downside of the nested sequent paradigm is that a general theory concerning the automated construction of such calculi (as in the labelled setting) is essentially absent, meaning that the construction of nested systems and the confirmation of their properties is usually done on a case-by-case basis. The refinement method connects both paradigms in a fruitful way, by transforming labelled systems into nested (or, refined labelled) systems with the properties of the former preserved throughout the transformation process. To demonstrate the method of refinement and some of its applications, we consider grammar logics, first-order intuitionistic logics, and deontic STIT logics. The introduced refined labelled calculi will be used to provide the first proof-search algorithms for deontic STIT logics. Furthermore, we employ our refined labelled calculi for grammar logics to show that every logic in the class possesses the effective Lyndon interpolation property.


Abstract:This work provides proof-search algorithms and automated counter-model extraction for a class of STIT logics. With this, we answer an open problem concerning syntactic decision procedures and cut-free calculi for STIT logics. A new class of cut-free complete labelled sequent calculi G3LdmL^m_n, for multi-agent STIT with at most n-many choices, is introduced. We refine the calculi G3LdmL^m_n through the use of propagation rules and demonstrate the admissibility of their structural rules, resulting in auxiliary calculi Ldm^m_nL. In the single-agent case, we show that the refined calculi Ldm^m_nL derive theorems within a restricted class of (forestlike) sequents, allowing us to provide proof-search algorithms that decide single-agent STIT logics. We prove that the proof-search algorithms are correct and terminate.
Abstract:We present cut-free labelled sequent calculi for a central formalism in logics of agency: STIT logics with temporal operators. These include sequent systems for Ldm, Tstit and Xstit. All calculi presented possess essential structural properties such as contraction- and cut-admissibility. The labelled calculi G3Ldm and G3TSTIT are shown sound and complete relative to irreflexive temporal frames. Additionally, we extend current results by showing that also XSTIT can be characterized through relational frames, omitting the use of BT+AC frames.
Abstract:This paper is an appendix to the paper "Cut-free Calculi and Relational Semantics for Temporal STIT logics" by Berkel and Lyon, 2019. It provides the completeness proof for the basic STIT logic Ldm (relative to irreflexive, temporal Kripke STIT frames) as well as gives the derivation of the independence of agents axiom for the logic Xstit.