

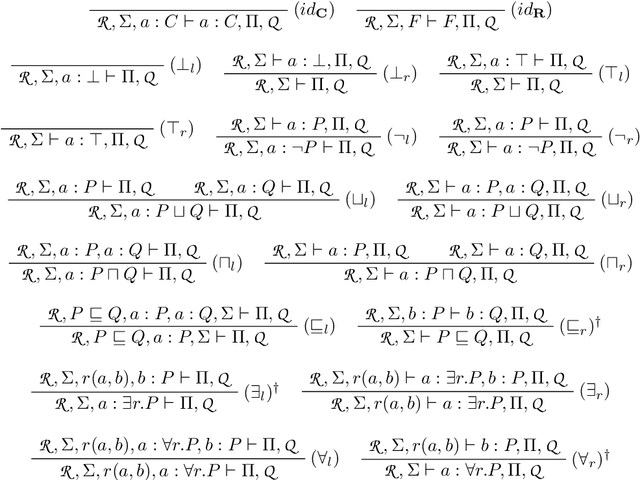
We introduce a framework that allows for the construction of sequent systems for expressive description logics extending ALC. Our framework not only covers a wide array of common description logics, but also allows for sequent systems to be obtained for extensions of description logics with special formulae that we call "role relational axioms." All sequent systems are sound, complete, and possess favorable properties such as height-preserving admissibility of common structural rules and height-preserving invertibility of rules.