Abstract:When sensitive information is encoded in data, it is important to ensure the privacy of information when attempting to learn useful information from the data. There is a natural tradeoff whereby increasing privacy requirements may decrease the utility of a learning protocol. In the quantum setting of differential privacy, such tradeoffs between privacy and utility have so far remained largely unexplored. In this work, we study optimal privacy-utility tradeoffs for both generic and application-specific utility metrics when privacy is quantified by $(\varepsilon,δ)$-quantum local differential privacy. In the generic setting, we focus on optimizing fidelity and trace distance between the original state and the privatized state. We show that the depolarizing mechanism achieves the optimal utility for given privacy requirements. We then study the specific application of learning the expectation of an observable with respect to an input state when only given access to privatized states. We derive a lower bound on the number of samples of privatized data required to achieve a fixed accuracy guarantee with high probability. To prove this result, we employ existing lower bounds on private quantum hypothesis testing, thus showcasing the first operational use of them. We also devise private mechanisms that achieve optimal sample complexity with respect to the privacy parameters and accuracy parameters, demonstrating that utility can be significantly improved for specific tasks in contrast to the generic setting. In addition, we show that the number of samples required to privately learn observable expectation values scales as $Θ((\varepsilon β)^{-2})$, where $\varepsilon \in (0,1)$ is the privacy parameter and $β$ is the accuracy tolerance. We conclude by initiating the study of private classical shadows, which promise useful applications for private learning tasks.



Abstract:Data-processing is a desired property of classical and quantum divergences and information measures. In information theory, the contraction coefficient measures how much the distinguishability of quantum states decreases when they are transmitted through a quantum channel, establishing linear strong data-processing inequalities (SDPI). However, these linear SDPI are not always tight and can be improved in most of the cases. In this work, we establish non-linear SDPI for quantum hockey-stick divergence for noisy channels that satisfy a certain noise criterion. We also note that our results improve upon existing linear SDPI for quantum hockey-stick divergences and also non-linear SDPI for classical hockey-stick divergence. We define $F_γ$ curves generalizing Dobrushin curves for the quantum setting while characterizing SDPI for the sequential composition of heterogeneous channels. In addition, we derive reverse-Pinsker type inequalities for $f$-divergences with additional constraints on hockey-stick divergences. We show that these non-linear SDPI can establish tighter finite mixing times that cannot be achieved through linear SDPI. Furthermore, we find applications of these in establishing stronger privacy guarantees for the composition of sequential private quantum channels when privacy is quantified by quantum local differential privacy.
Abstract:Quantum channel discrimination has been studied from an information-theoretic perspective, wherein one is interested in the optimal decay rate of error probabilities as a function of the number of unknown channel accesses. In this paper, we study the query complexity of quantum channel discrimination, wherein the goal is to determine the minimum number of channel uses needed to reach a desired error probability. To this end, we show that the query complexity of binary channel discrimination depends logarithmically on the inverse error probability and inversely on the negative logarithm of the (geometric and Holevo) channel fidelity. As a special case of these findings, we precisely characterize the query complexity of discriminating between two classical channels. We also provide lower and upper bounds on the query complexity of binary asymmetric channel discrimination and multiple quantum channel discrimination. For the former, the query complexity depends on the geometric R\'enyi and Petz R\'enyi channel divergences, while for the latter, it depends on the negative logarithm of (geometric and Uhlmann) channel fidelity. For multiple channel discrimination, the upper bound scales as the logarithm of the number of channels.




Abstract:In classical information theory, the Doeblin coefficient of a classical channel provides an efficiently computable upper bound on the total-variation contraction coefficient of the channel, leading to what is known as a strong data-processing inequality. Here, we investigate quantum Doeblin coefficients as a generalization of the classical concept. In particular, we define various new quantum Doeblin coefficients, one of which has several desirable properties, including concatenation and multiplicativity, in addition to being efficiently computable. We also develop various interpretations of two of the quantum Doeblin coefficients, including representations as minimal singlet fractions, exclusion values, reverse max-mutual and oveloH informations, reverse robustnesses, and hypothesis testing reverse mutual and oveloH informations. Our interpretations of quantum Doeblin coefficients as either entanglement-assisted or unassisted exclusion values are particularly appealing, indicating that they are proportional to the best possible error probabilities one could achieve in state-exclusion tasks by making use of the channel. We also outline various applications of quantum Doeblin coefficients, ranging from limitations on quantum machine learning algorithms that use parameterized quantum circuits (noise-induced barren plateaus), on error mitigation protocols, on the sample complexity of noisy quantum hypothesis testing, on the fairness of noisy quantum models, and on mixing times of time-varying channels. All of these applications make use of the fact that quantum Doeblin coefficients appear in upper bounds on various trace-distance contraction coefficients of a channel. Furthermore, in all of these applications, our analysis using Doeblin coefficients provides improvements of various kinds over contributions from prior literature, both in terms of generality and being efficiently computable.
Abstract:The hockey-stick divergence is a fundamental quantity characterizing several statistical privacy frameworks that ensure privacy for classical and quantum data. In such quantum privacy frameworks, the adversary is allowed to perform all possible measurements. However, in practice, there are typically limitations to the set of measurements that can be performed. To this end, here, we comprehensively analyze the measured hockey-stick divergence under several classes of practically relevant measurement classes. We prove several of its properties, including data processing and convexity. We show that it is efficiently computable by semi-definite programming for some classes of measurements and can be analytically evaluated for Werner and isotropic states. Notably, we show that the measured hockey-stick divergence characterizes optimal privacy parameters in the quantum pufferfish privacy framework. With this connection and the developed technical tools, we enable methods to quantify and audit privacy for several practically relevant settings. Lastly, we introduce the measured hockey-stick divergence of channels and explore its applications in ensuring privacy for channels.
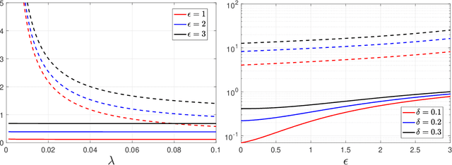
Abstract:A quantum generalized divergence by definition satisfies the data-processing inequality; as such, the relative decrease in such a divergence under the action of a quantum channel is at most one. This relative decrease is formally known as the contraction coefficient of the channel and the divergence. Interestingly, there exist combinations of channels and divergences for which the contraction coefficient is strictly less than one. Furthermore, understanding the contraction coefficient is fundamental for the study of statistical tasks under privacy constraints. To this end, here we establish upper bounds on contraction coefficients for the hockey-stick divergence under privacy constraints, where privacy is quantified with respect to the quantum local differential privacy (QLDP) framework, and we fully characterize the contraction coefficient for the trace distance under privacy constraints. With the machinery developed, we also determine an upper bound on the contraction of both the Bures distance and quantum relative entropy relative to the normalized trace distance, under QLDP constraints. Next, we apply our findings to establish bounds on the sample complexity of quantum hypothesis testing under privacy constraints. Furthermore, we study various scenarios in which the sample complexity bounds are tight, while providing order-optimal quantum channels that achieve those bounds. Lastly, we show how private quantum channels provide fairness and Holevo information stability in quantum learning settings.
Abstract:Quantum hypothesis testing has been traditionally studied from the information-theoretic perspective, wherein one is interested in the optimal decay rate of error probabilities as a function of the number of samples of an unknown state. In this paper, we study the sample complexity of quantum hypothesis testing, wherein the goal is to determine the minimum number of samples needed to reach a desired error probability. By making use of the wealth of knowledge that already exists in the literature on quantum hypothesis testing, we characterize the sample complexity of binary quantum hypothesis testing in the symmetric and asymmetric settings, and we provide bounds on the sample complexity of multiple quantum hypothesis testing. In more detail, we prove that the sample complexity of symmetric binary quantum hypothesis testing depends logarithmically on the inverse error probability and inversely on the negative logarithm of the fidelity. As a counterpart of the quantum Stein's lemma, we also find that the sample complexity of asymmetric binary quantum hypothesis testing depends logarithmically on the inverse type~II error probability and inversely on the quantum relative entropy. Finally, we provide lower and upper bounds on the sample complexity of multiple quantum hypothesis testing, with it remaining an intriguing open question to improve these bounds.




Abstract:We propose a versatile privacy framework for quantum systems, termed quantum pufferfish privacy (QPP). Inspired by classical pufferfish privacy, our formulation generalizes and addresses limitations of quantum differential privacy by offering flexibility in specifying private information, feasible measurements, and domain knowledge. We show that QPP can be equivalently formulated in terms of the Datta-Leditzky information spectrum divergence, thus providing the first operational interpretation thereof. We reformulate this divergence as a semi-definite program and derive several properties of it, which are then used to prove convexity, composability, and post-processing of QPP mechanisms. Parameters that guarantee QPP of the depolarization mechanism are also derived. We analyze the privacy-utility tradeoff of general QPP mechanisms and, again, study the depolarization mechanism as an explicit instance. The QPP framework is then applied to privacy auditing for identifying privacy violations via a hypothesis testing pipeline that leverages quantum algorithms. Connections to quantum fairness and other quantum divergences are also explored and several variants of QPP are examined.




Abstract:Sliced mutual information (SMI) is defined as an average of mutual information (MI) terms between one-dimensional random projections of the random variables. It serves as a surrogate measure of dependence to classic MI that preserves many of its properties but is more scalable to high dimensions. However, a quantitative characterization of how SMI itself and estimation rates thereof depend on the ambient dimension, which is crucial to the understanding of scalability, remain obscure. This works extends the original SMI definition to $k$-SMI, which considers projections to $k$-dimensional subspaces, and provides a multifaceted account on its dependence on dimension. Using a new result on the continuity of differential entropy in the 2-Wasserstein metric, we derive sharp bounds on the error of Monte Carlo (MC)-based estimates of $k$-SMI, with explicit dependence on $k$ and the ambient dimension, revealing their interplay with the number of samples. We then combine the MC integrator with the neural estimation framework to provide an end-to-end $k$-SMI estimator, for which optimal convergence rates are established. We also explore asymptotics of the population $k$-SMI as dimension grows, providing Gaussian approximation results with a residual that decays under appropriate moment bounds. Our theory is validated with numerical experiments and is applied to sliced InfoGAN, which altogether provide a comprehensive quantitative account of the scalability question of $k$-SMI, including SMI as a special case when $k=1$.