Abstract:Speech enhancement methods are commonly believed to improve the performance of automatic speech recognition (ASR) in noisy environments. However, the effectiveness of these techniques cannot be taken for granted in the case of modern large-scale ASR models trained on diverse, noisy data. We present a systematic evaluation of MetricGAN-plus-voicebank denoising on four state-of-the-art ASR systems: OpenAI Whisper, NVIDIA Parakeet, Google Gemini Flash 2.0, Parrotlet-a using 500 medical speech recordings under nine noise conditions. ASR performance is measured using semantic WER (semWER), a normalized word error rate (WER) metric accounting for domain-specific normalizations. Our results reveal a counterintuitive finding: speech enhancement preprocessing degrades ASR performance across all noise conditions and models. Original noisy audio achieves lower semWER than enhanced audio in all 40 tested configurations (4 models x 10 conditions), with degradations ranging from 1.1% to 46.6% absolute semWER increase. These findings suggest that modern ASR models possess sufficient internal noise robustness and that traditional speech enhancement may remove acoustic features critical for ASR. For practitioners deploying medical scribe systems in noisy clinical environments, our results indicate that preprocessing audio with noise reduction techniques might not just be computationally wasteful but also be potentially harmful to the transcription accuracy.




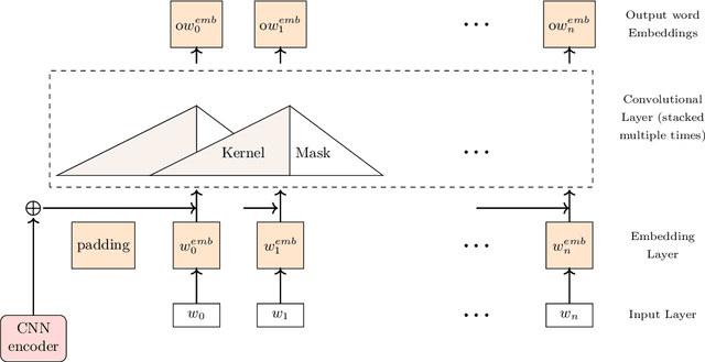
Abstract:Recently Convolutional Neural Networks have been proposed for Sequence Modelling tasks such as Image Caption Generation. However, unlike Recurrent Neural Networks, the performance of Convolutional Neural Networks as Decoders for Image Caption Generation has not been extensively studied. In this work, we analyse various aspects of Convolutional Neural Network based Decoders such as Network complexity and depth, use of Data Augmentation, Attention mechanism, length of sentences used during training, etc on performance of the model. We perform experiments using Flickr8k and Flickr30k image captioning datasets and observe that unlike Recurrent Neural Network based Decoder, Convolutional Decoder for Image Captioning does not generally benefit from increase in network depth, in the form of stacked Convolutional Layers, and also the use of Data Augmentation techniques. In addition, use of Attention mechanism also provides limited performance gains with Convolutional Decoder. Furthermore, we observe that Convolutional Decoders show performance comparable with Recurrent Decoders only when trained using sentences of smaller length which contain up to 15 words but they have limitations when trained using higher sentence lengths which suggests that Convolutional Decoders may not be able to model long-term dependencies efficiently. In addition, the Convolutional Decoder usually performs poorly on CIDEr evaluation metric as compared to Recurrent Decoder.




Abstract:Aided by recent advances in Deep Learning, Image Caption Generation has seen tremendous progress over the last few years. Most methods use transfer learning to extract visual information, in the form of image features, with the help of pre-trained Convolutional Neural Network models followed by transformation of the visual information using a Caption Generator module to generate the output sentences. Different methods have used different Convolutional Neural Network Architectures and, to the best of our knowledge, there is no systematic study which compares the relative efficacy of different Convolutional Neural Network architectures for extracting the visual information. In this work, we have evaluated 17 different Convolutional Neural Networks on two popular Image Caption Generation frameworks: the first based on Neural Image Caption (NIC) generation model and the second based on Soft-Attention framework. We observe that model complexity of Convolutional Neural Network, as measured by number of parameters, and the accuracy of the model on Object Recognition task does not necessarily co-relate with its efficacy on feature extraction for Image Caption Generation task.




Abstract:Image Captioning, or the automatic generation of descriptions for images, is one of the core problems in Computer Vision and has seen considerable progress using Deep Learning Techniques. We propose to use Inception-ResNet Convolutional Neural Network as encoder to extract features from images, Hierarchical Context based Word Embeddings for word representations and a Deep Stacked Long Short Term Memory network as decoder, in addition to using Image Data Augmentation to avoid over-fitting. For data Augmentation, we use Horizontal and Vertical Flipping in addition to Perspective Transformations on the images. We evaluate our proposed methods with two image captioning frameworks- Encoder-Decoder and Soft Attention. Evaluation on widely used metrics have shown that our approach leads to considerable improvement in model performance.