



Abstract:The state of health (SOH) estimation plays an essential role in battery-powered applications to avoid unexpected breakdowns due to battery capacity fading. However, few studies have paid attention to the problem of uneven length of degrading cycles, simply employing manual operation or leaving to the automatic processing mechanism of advanced machine learning models, like long short-term memory (LSTM). As a result, this causes information loss and caps the full capability of the data-driven SOH estimation models. To address this challenge, this paper proposes an innovative cycle synchronization way to change the existing coordinate system using dynamic time warping, not only enabling the equal length inputs of the estimation model but also preserving all information. By exploiting the time information of the time series, the proposed method embeds the time index and the original measurements into a novel indicator to reflect the battery degradation status, which could have the same length over cycles. Adopting the LSTM as the basic estimation model, the cycle synchronization-based SOH model could significantly improve the prediction accuracy by more than 30% compared to the traditional LSTM.




Abstract:Accurate and reliable state of charge (SoC) estimation becomes increasingly important to provide a stable and efficient environment for Lithium-ion batteries (LiBs) powered devices. Most data-driven SoC models are built for a fixed ambient temperature, which neglect the high sensitivity of LiBs to temperature and may cause severe prediction errors. Nevertheless, a systematic evaluation of the impact of temperature on SoC estimation and ways for a prompt adjustment of the estimation model to new temperatures using limited data have been hardly discussed. To solve these challenges, a novel SoC estimation method is proposed by exploiting temporal dynamics of measurements and transferring consistent estimation ability among different temperatures. First, temporal dynamics, which is presented by correlations between the past fluctuation and the future motion, is extracted using canonical variate analysis. Next, two models, including a reference SoC estimation model and an estimation ability monitoring model, are developed with temporal dynamics. The monitoring model provides a path to quantitatively evaluate the influences of temperature on SoC estimation ability. After that, once the inability of the reference SoC estimation model is detected, consistent temporal dynamics between temperatures are selected for transfer learning. Finally, the efficacy of the proposed method is verified through a benchmark. Our proposed method not only reduces prediction errors at fixed temperatures (e.g., reduced by 24.35% at -20{\deg}C, 49.82% at 25{\deg}C) but also improves prediction accuracies at new temperatures.




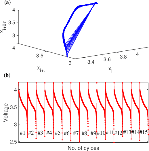
Abstract:By informing accurate performance (e.g., capacity), health state management plays a significant role in safeguarding battery and its powered system. While most current approaches are primarily based on data-driven methods, lacking in-depth analysis of battery performance degradation mechanism may discount their performances. To fill in the research gap about data-driven battery performance degradation analysis, an invariant learning based method is proposed to investigate whether the battery performance degradation follows a fixed behavior. First, to unfold the hidden dynamics of cycling battery data, measurements are reconstructed in phase subspace. Next, a novel multi-stage division strategy is put forward to judge the existent of multiple degradation behaviors. Then the whole aging procedure is sequentially divided into several segments, among which cycling data with consistent degradation speed are assigned in the same stage. Simulations on a well-know benchmark verify the efficacy of the proposed multi-stages identification strategy. The proposed method not only enables insights into degradation mechanism from data perspective, but also will be helpful to related topics, such as stage of health.