



Abstract:Stochastic optimization algorithms have been successfully applied in several domains to find optimal solutions. Because of the ever-growing complexity of the integrated systems, novel stochastic algorithms are being proposed, which makes the task of the performance analysis of the algorithms extremely important. In this paper, we provide a novel ranking scheme to rank the algorithms over multiple single-objective optimization problems. The results of the algorithms are compared using a robust bootstrapping-based hypothesis testing procedure that is based on the principles of severity. Analogous to the football league scoring scheme, we propose pairwise comparison of algorithms as in league competition. Each algorithm accumulates points and a performance metric of how good or bad it performed against other algorithms analogous to goal differences metric in football league scoring system. The goal differences performance metric can not only be used as a tie-breaker but also be used to obtain a quantitative performance of each algorithm. The key novelty of the proposed ranking scheme is that it takes into account the performance of each algorithm considering the magnitude of the achieved performance improvement along with its practical relevance and does not have any distributional assumptions. The proposed ranking scheme is compared to classical hypothesis testing and the analysis of the results shows that the results are comparable and our proposed ranking showcases many additional benefits.




Abstract:Identifying anomalies in large multi-dimensional time series is a crucial and difficult task across multiple domains. Few methods exist in the literature that address this task when some of the variables are categorical in nature. We formalize an analogy between categorical time series and classical Natural Language Processing and demonstrate the strength of this analogy for anomaly detection and root cause investigation by implementing and testing three different machine learning anomaly detection and root cause investigation models based upon it.
Abstract:Drinking water supply and distribution systems are critical infrastructure that has to be well maintained for the safety of the public. One important tool in the maintenance of water distribution systems (WDS) is flushing. Flushing is a process carried out in a periodic fashion to clean sediments and other contaminants in the water pipes. Given the different topographies, water composition and supply demand between WDS no single flushing strategy is suitable for all of them. In this report a non-exhaustive overview of optimization methods for flushing in WDS is given. Implementation of optimization methods for the flushing procedure and the flushing planing are presented. Suggestions are given as a possible option to optimise existing flushing planing frameworks.




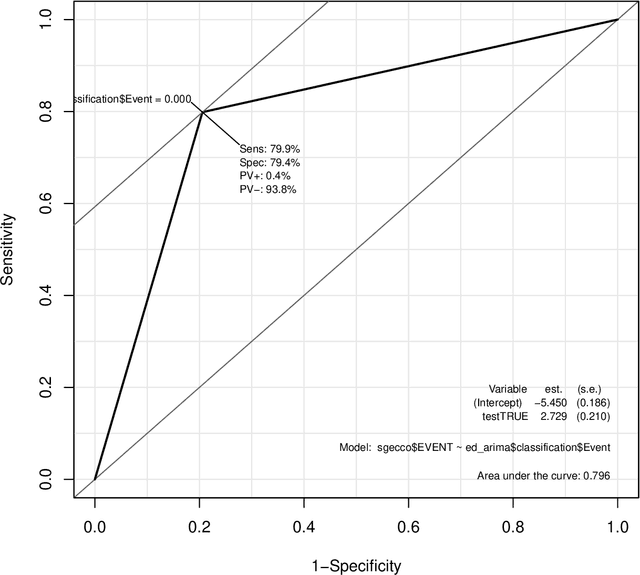
Abstract:EventDetectR: An efficient Event Detection System (EDS) capable of detecting unexpected water quality conditions. This approach uses multiple algorithms to model the relationship between various multivariate water quality signals. Then the residuals of the models were utilized in constructing the event detection algorithm, which provides a continuous measure of the probability of an event at every time step. The proposed framework was tested for water contamination events with industrial data from automated water quality sensors. The results showed that the framework is reliable with better performance and is highly suitable for event detection.




Abstract:This survey compiles ideas and recommendations from more than a dozen researchers with different backgrounds and from different institutes around the world. Promoting best practice in benchmarking is its main goal. The article discusses eight essential topics in benchmarking: clearly stated goals, well-specified problems, suitable algorithms, adequate performance measures, thoughtful analysis, effective and efficient designs, comprehensible presentations, and guaranteed reproducibility. The final goal is to provide well-accepted guidelines (rules) that might be useful for authors and reviewers. As benchmarking in optimization is an active and evolving field of research this manuscript is meant to co-evolve over time by means of periodic updates.