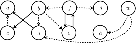
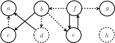
Abstract:The rash development of knowledge graph research has brought big driving force to its application in many areas, including the medicine and healthcare domain. However, we have found that the application of some major information processing techniques on knowledge graph still lags behind. This defect includes the failure to make sufficient use of advanced logic reasoning, advanced artificial intelligence techniques, special-purpose programming languages, modern probabilistic and statistic theories et al. on knowledge graphs development and application. In particular, the multiple knowledge graphs cooperation and competition techniques have not got enough attention from researchers. This paper develops a systematic theory, technique and application of the concept 'knowledge graph network' and its application in medical and healthcare domain. Our research covers its definition, development, reasoning, computing and application under different conditions such as unsharp, uncertain, multi-modal, vectorized, distributed, federated. Almost in each case we provide (real data) examples and experiment results. Finally, a conclusion of innovation is provided.
Abstract:In this paper, we propose to incorporate the blackboard architecture into LLM multi-agent systems (MASs) so that (1) agents with various roles can share all the information and others' messages during the whole problem-solving process, (2) agents that will take actions are selected based on the current content of the blackboard, and (3) the selection and execution round is repeated until a consensus is reached on the blackboard. We develop the first implementation of this proposal and conduct experiments on commonsense knowledge, reasoning and mathematical datasets. The results show that our system can be competitive with the SOTA static and dynamic MASs by achieving the best average performance, and at the same time manage to spend less tokens. Our proposal has the potential to enable complex and dynamic problem-solving where well-defined structures or workflows are unavailable.




Abstract:The notion of relevance was proposed for stability of justification status of a single argument in incomplete argumentation frameworks (IAFs) in 2024 by Odekerken et al. To extend the notion, we study the relevance for stability of verification status of a set of arguments in this paper, i.e., the uncertainties in an IAF that have to be resolved in some situations so that answering whether a given set of arguments is an extension obtains the same result in every completion of the IAF. Further we propose the notion of strong relevance for describing the necessity of resolution in all situations reaching stability. An analysis of complexity reveals that detecting the (strong) relevance for stability of sets of arguments can be accomplished in P time under the most semantics discussed in the paper. We also discuss the difficulty in finding tractable methods for relevance detection under grounded semantics.




Abstract:This paper presents a new approach of automatic text summarization which combines domain oriented text analysis (DoTA) and rhetorical structure theory (RST) in a grammar form: the attributed rhetorical structure grammar (ARSG), where the non-terminal symbols are domain keywords, called domain relations, while the rhetorical relations serve as attributes. We developed machine learning algorithms for learning such a grammar from a corpus of sample domain texts, as well as parsing algorithms for the learned grammar, together with adjustable text summarization algorithms for generating domain specific summaries. Our practical experiments have shown that with support of domain knowledge the drawback of missing very large training data set can be effectively compensated. We have also shown that the knowledge based approach may be made more powerful by introducing grammar parsing and RST as inference engine. For checking the feasibility of model transfer, we introduced a technique for mapping a grammar from one domain to others with acceptable cost. We have also made a comprehensive comparison of our approach with some others.