



Abstract:The scale of modern datasets necessitates the development of efficient distributed optimization methods for machine learning. We present a general-purpose framework for distributed computing environments, CoCoA, that has an efficient communication scheme and is applicable to a wide variety of problems in machine learning and signal processing. We extend the framework to cover general non-strongly-convex regularizers, including L1-regularized problems like lasso, sparse logistic regression, and elastic net regularization, and show how earlier work can be derived as a special case. We provide convergence guarantees for the class of convex regularized loss minimization objectives, leveraging a novel approach in handling non-strongly-convex regularizers and non-smooth loss functions. The resulting framework has markedly improved performance over state-of-the-art methods, as we illustrate with an extensive set of experiments on real distributed datasets.




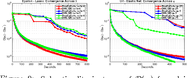
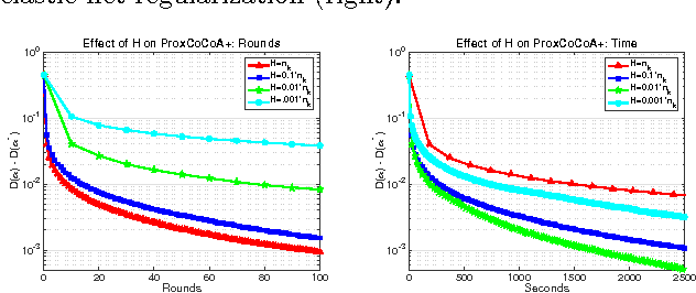
Abstract:Despite the importance of sparsity in many large-scale applications, there are few methods for distributed optimization of sparsity-inducing objectives. In this paper, we present a communication-efficient framework for L1-regularized optimization in the distributed environment. By viewing classical objectives in a more general primal-dual setting, we develop a new class of methods that can be efficiently distributed and applied to common sparsity-inducing models, such as Lasso, sparse logistic regression, and elastic net-regularized problems. We provide theoretical convergence guarantees for our framework, and demonstrate its efficiency and flexibility with a thorough experimental comparison on Amazon EC2. Our proposed framework yields speedups of up to 50x as compared to current state-of-the-art methods for distributed L1-regularized optimization.



Abstract:We propose an algorithm-independent framework to equip existing optimization methods with primal-dual certificates. Such certificates and corresponding rate of convergence guarantees are important for practitioners to diagnose progress, in particular in machine learning applications. We obtain new primal-dual convergence rates, e.g., for the Lasso as well as many L1, Elastic Net, group Lasso and TV-regularized problems. The theory applies to any norm-regularized generalized linear model. Our approach provides efficiently computable duality gaps which are globally defined, without modifying the original problems in the region of interest.