



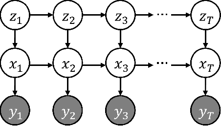
Abstract:Using movement primitive libraries is an effective means to enable robots to solve more complex tasks. In order to build these movement libraries, current algorithms require a prior segmentation of the demonstration trajectories. A promising approach is to model the trajectory as being generated by a set of Switching Linear Dynamical Systems and inferring a meaningful segmentation by inspecting the transition points characterized by the switching dynamics. With respect to the learning, a nonparametric Bayesian approach is employed utilizing a Gibbs sampler.