



Abstract:Amazon Customer Service provides real-time support for millions of customer contacts every year. While bot-resolver helps automate some traffic, we still see high demand for human agents, also called subject matter experts (SMEs). Customers outreach with questions in different domains (return policy, device troubleshooting, etc.). Depending on their training, not all SMEs are eligible to handle all contacts. Routing contacts to eligible SMEs turns out to be a non-trivial problem because SMEs' domain eligibility is subject to training quality and can change over time. To optimally recommend SMEs while simultaneously learning the true eligibility status, we propose to formulate the routing problem with a nonparametric contextual bandit algorithm (K-Boot) plus an eligibility control (EC) algorithm. K-Boot models reward with a kernel smoother on similar past samples selected by $k$-NN, and Bootstrap Thompson Sampling for exploration. EC filters arms (SMEs) by the initially system-claimed eligibility and dynamically validates the reliability of this information. The proposed K-Boot is a general bandit algorithm, and EC is applicable to other bandits. Our simulation studies show that K-Boot performs on par with state-of-the-art Bandit models, and EC boosts K-Boot performance when stochastic eligibility signal exists.




Abstract:We developed a machine learning approach that quantifies multiple aspects of the success or values in Customer Service contacts, at anytime during the interaction. Specifically, the value/reward function regarding to the turn-level behaviors across human agents, chatbots and other hybrid dialog systems is characterized by the incremental information and confidence gain between sentences, based on the token-level predictions from a multi-task neural network trained with only weak signals in dialog-level attributes/states. The resulting model, named Value Profiler, serves as a goal-oriented dialog manager that enhances conversations by regulating automated decisions with its reward and state predictions. It supports both real-time monitoring and scalable offline customer experience evaluation, for both bot- and human-handled contacts. We show how it improves Amazon customer service quality in several applications.




Abstract:We introduce a new category of multivariate conditional generative models and demonstrate its performance and versatility in probabilistic time series forecasting and simulation. Specifically, the output of quantile regression networks is expanded from a set of fixed quantiles to the whole Quantile Function by a univariate mapping from a latent uniform distribution to the target distribution. Then the multivariate case is solved by learning such quantile functions for each dimension's marginal distribution, followed by estimating a conditional Copula to associate these latent uniform random variables. The quantile functions and copula, together defining the joint predictive distribution, can be parameterized by a single implicit generative Deep Neural Network.




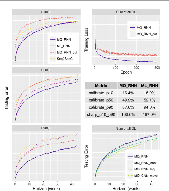
Abstract:We propose a framework for general probabilistic multi-step time series regression. Specifically, we exploit the expressiveness and temporal nature of Sequence-to-Sequence Neural Networks (e.g. recurrent and convolutional structures), the nonparametric nature of Quantile Regression and the efficiency of Direct Multi-Horizon Forecasting. A new training scheme, *forking-sequences*, is designed for sequential nets to boost stability and performance. We show that the approach accommodates both temporal and static covariates, learning across multiple related series, shifting seasonality, future planned event spikes and cold-starts in real life large-scale forecasting. The performance of the framework is demonstrated in an application to predict the future demand of items sold on Amazon.com, and in a public probabilistic forecasting competition to predict electricity price and load.