Abstract:Accurate epidemic forecasting is crucial for public health response, resource allocation, and outbreak intervention, but remains difficult with sparse, noisy, and highly non-stationary data. Because epidemics unfold across interacting regions, spatiotemporal methods are natural candidates for improving forecasts. Despite growing interest in spatial information, no standardized benchmark exists, and current evaluations often use simple chronological train-test splits that do not reflect real-time forecasting practice. We address this gap with SpatialEpiBench, a challenging benchmark for spatiotemporal epidemic forecasting in realistic public-health settings. SpatialEpiBench includes 11 epidemic datasets with standardized rolling evaluations and outbreak-specific metrics. We evaluate adjacency-informed forecasting models with widely used epidemic priors that adapt general models to epidemiology, but find that most methods underperform a simple last-value baseline from 1 day to 1 month ahead, even during outbreaks and with these priors. We identify three major failure modes: (1) poor outbreak anticipation, (2) difficulty handling sparsity and noise, and (3) limited utility of common geographic adjacency for epidemiological spatial information. We release benchmark data, code, and instructions at https://github.com/Rachel-Lyu/SpatialEpiBench to support development of operationally useful epidemic forecasting models.




Abstract:Responding to disease outbreaks requires close surveillance of their trajectories, but outbreak detection is hindered by the high noise in epidemic time series. Aggregating information across data sources has shown great denoising ability in other fields, but remains underexplored in epidemiology. Here, we present LRTrend, an interpretable machine learning framework to identify outbreaks in real time. LRTrend effectively aggregates diverse health and behavioral data streams within one region and learns disease-specific epidemic networks to aggregate information across regions. We reveal diverse epidemic clusters and connections across the United States that are not well explained by commonly used human mobility networks and may be informative for future public health coordination. We apply LRTrend to 2 years of COVID-19 data in 305 hospital referral regions and frequently detect regional Delta and Omicron waves within 2 weeks of the outbreak's start, when case counts are a small fraction of the wave's resulting peak.
Abstract:Recent work has investigated the capabilities of large language models (LLMs) as zero-shot models for generating individual-level characteristics (e.g., to serve as risk models or augment survey datasets). However, when should a user have confidence that an LLM will provide high-quality predictions for their particular task? To address this question, we conduct a large-scale empirical study of LLMs' zero-shot predictive capabilities across a wide range of tabular prediction tasks. We find that LLMs' performance is highly variable, both on tasks within the same dataset and across different datasets. However, when the LLM performs well on the base prediction task, its predicted probabilities become a stronger signal for individual-level accuracy. Then, we construct metrics to predict LLMs' performance at the task level, aiming to distinguish between tasks where LLMs may perform well and where they are likely unsuitable. We find that some of these metrics, each of which are assessed without labeled data, yield strong signals of LLMs' predictive performance on new tasks.
Abstract:Regardless the amount of data a machine learning (ML) model is trained on, there will inevitably be data that differs from their training set, lowering model performance. Concept shift occurs when the distribution of labels conditioned on the features changes, making even a well-tuned ML model to have learned a fundamentally incorrect representation. Identifying these shifted features provides unique insight into how one dataset differs from another, considering the difference may be across a scientifically relevant dimension, such as time, disease status, population, etc. In this paper, we propose SGShift, a model for detecting concept shift in tabular data and attributing reduced model performance to a sparse set of shifted features. SGShift models concept shift with a Generalized Additive Model (GAM) and performs subsequent feature selection to identify shifted features. We propose further extensions of SGShift by incorporating knockoffs to control false discoveries and an absorption term to account for models with poor fit to the data. We conduct extensive experiments in synthetic and real data across various ML models and find SGShift can identify shifted features with AUC $>0.9$ and recall $>90\%$, often 2 or 3 times as high as baseline methods.




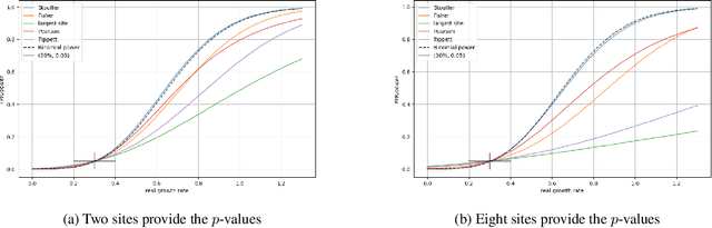
Abstract:The surveillance of a pandemic is a challenging task, especially when crucial data is distributed and stakeholders cannot or are unwilling to share. To overcome this obstacle, federated methodologies should be developed to incorporate less sensitive evidence that entities are willing to provide. This study aims to explore the feasibility of pushing hypothesis tests behind each custodian's firewall and then meta-analysis to combine the results, and to determine the optimal approach for reconstructing the hypothesis test and optimizing the inference. We propose a hypothesis testing framework to identify a surge in the indicators and conduct power analyses and experiments on real and semi-synthetic data to showcase the properties of our proposed hypothesis test and suggest suitable methods for combining $p$-values. Our findings highlight the potential of using $p$-value combination as a federated methodology for pandemic surveillance and provide valuable insights into integrating available data sources.