Abstract:The assumption that no LoS channels exist between wireless access points~(APs) and user equipments~(UEs) becomes questionable in the context of the recent developments in the direction of cell free massive multiple input multiple output MIMO~(CF-mMIMO) systems. In CF-mMIMO systems, the access point density is assumed to be comparable to, or much larger than the the user density, thereby leading to the possibility of existence of LoS links between the UEs and the APs, depending on the local propagation conditions. In this paper, we compare the rates achievable by CF-mMIMO systems under probabilistic LoS/ NLos channels, with and without acquiring the channel state information~(CSI) of the fast fading components. We show that, under sufficiently large AP densities, statistical beamforming that does not require the knowledge about the fast fading components of the channels, performs almost at par with full beamforming, utilizing the information about the fast fading channel coefficients, thus potentially avoiding the need for training during every frame. We validate our results via detailed Monte Carlo simulations, and also elaborate the conditions under which statistical beamforming can be successfully employed in massive MIMO systems with LoS/ NLoS channels.




Abstract:A primary design goal of the cell-free~(CF) massive MIMO architecture is to provide uniformly good coverage to all the user equipments~(UEs) connected to the network. However, it has been found that this requirement may not be satisfied in case the channels between the access points~(APs) and the UEs are mixed LoS/NLoS. In this paper, we try to address this issue via the use of appropriate power control in both the uplink and downlink of a CF massive MIMO system under mixed LoS/NLoS channels. We find that simplistic power control techniques, such as channel inversion-based power control perform sub-optimally as compared to max-min power control. As a consequence, we propose a particle swarm algorithm~(PSA) based power control algorithm to optimize the performance of the system under study. We then use numerical simulations to evaluate the performance of the proposed PSA-based solution and show that it results in a significant improvement in the fairness of the underlying system while incurring a lower computational complexity.
Abstract:In this paper, we investigate the coexistence of a single cell massive MIMO communication system with a MIMO radar. We consider the case where the massive MIMO BS is aware of the radar's existence and treats it as a non-serviced user, but the radar is unaware of the communication system's existence and treats the signals transmitted by both the BS and the communication users as noise. Using results from random matrix theory, we derive the rates achievable by the communication system and the radar. We then use these expressions to obtain the achievable rate regions for the proposed joint radar and communications system. We observe that due to the availability of a large number of degrees of freedom at the mMIMO BS, results in minimal interference even without co-design. Finally we corroborate our findings via detailed numerical simulations and verify the validity of the results derived previously under different settings.
Abstract:Most of the metrics used for detecting a causal relationship among multiple time series ignore the effects of practical measurement impairments, such as finite sample effects, undersampling and measurement noise. It has been shown that these effects significantly impair the performance of the underlying causality test. In this paper, we consider the problem of sequentially detecting the causal relationship between two time series while accounting for these measurement impairments. In this context, we first formulate the problem of Granger causality detection as a binary hypothesis test using the norm of the estimates of the vector auto-regressive~(VAR) coefficients of the two time series as the test statistic. Following this, we investigate sequential estimation of these coefficients and formulate a sequential test for detecting the causal relationship between two time series. Finally via detailed simulations, we validate our derived results, and evaluate the performance of the proposed causality detectors.




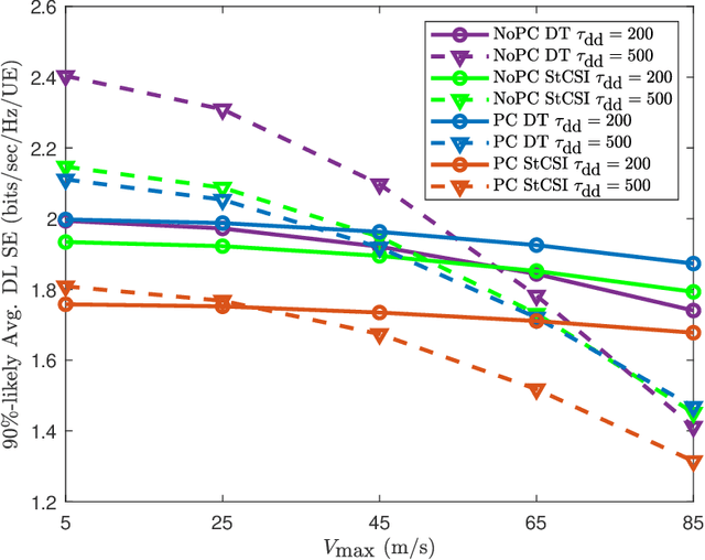
Abstract:In this paper, we analyze the achievable downlink spectral efficiency of cell-free massive multiple input multiple output (CF-mMIMO) systems, accounting for the effects of channel aging (caused by user mobility) and pilot contamination. We consider two cases, one where user equipments (UEs) rely on downlink pilots beamformed by the access points (APs) to estimate downlink channel, and another where UEs utilize statistical channel state information (CSI) for data decoding. For comparison, we also consider cellular mMIMO and derive its achievable spectral efficiency with channel aging and pilot contamination in the above two cases. Our results show that, in CF-mMIMO, downlink training is preferable over statistical CSI when the length of the data sequence is chosen optimally to maximize the spectral efficiency. In cellular mMIMO, however, either one of the two schemes may be better depending on whether user fairness or sum spectral efficiency is prioritized. Furthermore, the CF-mMIMO system generally outperforms cellular mMIMO even after accounting for the effects of channel aging and pilot contamination. Through numerical results, we illustrate the effect of various system parameters such as the maximum user velocity, uplink/downlink pilot lengths, data duration, network densification, and provide interesting insights into the key differences between cell-free and cellular mMIMO systems.




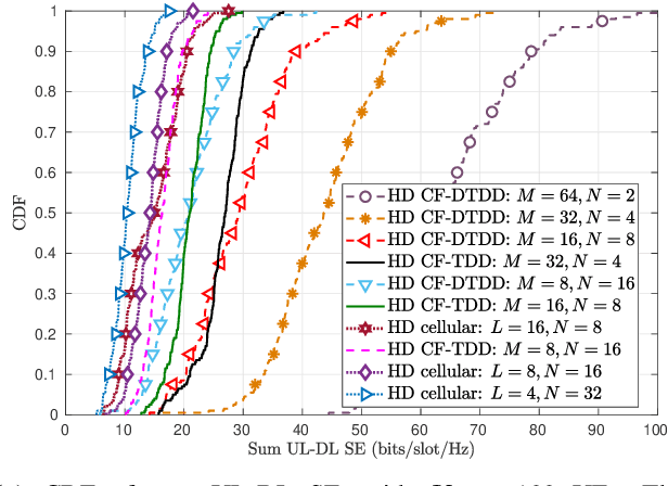
Abstract:We consider a dynamic time division duplex (DTDD) enabled cell-free massive multiple-input multiple-output (CF-mMIMO) system, where each half-duplex (HD) access point (AP) is scheduled to operate in the uplink (UL) or downlink (DL) mode based on the data demands of the user equipments (UEs). The goal is to maximize the sum UL-DL spectral efficiency (SE). We theoretically establish the sub-modularity of the sum SE, which allows us to develop a new, low complexity, greedy algorithm for the combinatorial AP scheduling problem, with guaranteed optimality properties. We also consider pilot sequence reuse among the UEs to limit the channel estimation overhead. In CF systems, all the APs estimate the channel from every UE, making pilot allocation problem different from the cellular case. We develop a novel algorithm that iteratively minimizes the maximum pilot contamination across the UEs. We compare our solutions, both theoretically and via simulations, against a full duplex (FD) multi-cell mMIMO system. Our results show that, due to the joint processing of the signals at the central processing unit, CF-mMIMO with dynamic HD AP-scheduling significantly outperforms cellular FD-mMIMO in terms of the sum SE and 90% likely SE. Thus, DTDD enabled HD CF-mMIMO is a promising alternative to cellular FD-mMIMO, without the cost of hardware for self-interference suppression.



Abstract:In this paper, we investigate the impact of channel aging on the uplink performance of a cell-free~(CF) massive multiple-input multiple-output (mMIMO) system with a minimum mean squared error (MMSE) receiver. To this end, we present a new model for the temporal evolution of the channel, which allows the channel to age at different rates at different access points (APs). Under this setting, we derive the deterministic equivalent of the per-user achievable signal-to-interference-plus-noise ratio (SINR). In addition to validating the theoretical expressions, our simulation results reveal that, {at low user mobilities,} the SINR of CF-mMIMO is nearly 5 dB higher than its cellular counterpart with the same number of antennas, and about 8 dB higher than that of an equivalent small-cell network with the same number of APs. {On the other hand, at very high user velocities, and when the channel between the UEs the different APs age at same rate, the relative impact of aging is higher for CF-mMIMO compared to cellular mMIMO. However, when the channel ages at the different APs with different rates, the effect of aging on CF-mMIMO is marginally mitigated, especially for larger frame durations.