Indian Institute of Science
Abstract:We experimentally demonstrate the performance gains achieved by an in-house built reconfigurable intelligent surface (RIS) integrated with a real-time 5G new radio (NR) system implemented using the OpenAirInterface (OAI) framework. We first quantify the gain in throughput achievable by integrating an RIS with a 5G system. Next, we show that randomly setting the RIS phase configuration and leveraging the inherent proportional fair (PF) scheduling mechanism of 5G NR can yield near-optimal throughput, provided the throughput averaging window of the PF scheduler is chosen judiciously. This occurs because, in each time slot, the PF scheduler naturally prioritizes data transmission to the user equipment (UE) that experiences the best channel conditions, namely, the UE to which the randomly configured RIS is aligned. Subsequently, we experimentally evaluate key performance metrics, including the reference signal received power (RSRP), block error rate (BLER), modulation and coding scheme (MCS) index, and throughput, under random RIS configurations. These results confirm that even a randomly configured RIS with negligible overhead can deliver performance comparable to optimized RIS designs, in real-world 5G NR wireless communication systems.




Abstract:Intelligent reflecting surfaces (IRSs) are envisioned to enhance the performance of mmWave wireless systems. In practice, multiple mobile operators (MO) coexist in an area and provide simultaneous and independent services to user-equipments (UEs) on different frequency bands. Then, if each MO deploys an IRS to enhance its performance, the IRSs also alter the channels of UEs of other MOs. In this context, this paper addresses the following questions: can an MO still continue to control its IRS independently of other MOs and IRSs? Is joint optimization of IRSs deployed by different MOs and inter-MO cooperation needed? To that end, by considering the mmWave bands, we first derive the ergodic sum spectral efficiency (SE) in a $2$-MO system for the following schemes: 1) joint optimization of an overall phase angle of the IRSs with MO cooperation, 2) MO cooperation via time-sharing, and 3) no cooperation between the MOs. We find that even with no cooperation between the MOs, the performance of a given MO is not degraded by the presence of an out-of-band (OOB) MO deploying and independently controlling its own IRS. On the other hand, the SE gain obtained at a given MO using joint optimization and cooperation over the no-cooperation scheme decreases inversely with the number of elements in the IRS deployed by the other MO. We generalize our results to a multiple MO setup and show that the gain in the sum-SE over the no-cooperation case increases at least linearly with the number of OOB MOs. Finally, we numerically verify our findings and conclude that every MO can independently operate and tune its IRS; cooperation via optimizing an overall phase only brings marginal benefits in practice.
Abstract:We consider the problem of identifying the defectives from a population of items via a non-adaptive group testing framework with a random pooling-matrix design. We analyze the sufficient number of tests needed for approximate set identification, i.e., for identifying almost all the defective and non-defective items with high confidence. To this end, we view the group testing problem as a function learning problem and develop our analysis using the probably approximately correct (PAC) framework. Using this formulation, we derive sufficiency bounds on the number of tests for three popular binary group testing algorithms: column matching, combinatorial basis pursuit, and definite defectives. We compare the derived bounds with the existing ones in the literature for exact recovery theoretically and using simulations. Finally, we contrast the three group testing algorithms under consideration in terms of the sufficient testing rate surface and the sufficient number of tests contours across the range of the approximation and confidence levels.
Abstract:In wideband systems operating at mmWave frequencies, intelligent reflecting surfaces (IRSs) equipped with many passive elements can compensate for channel propagation losses. Then, a phenomenon known as the beam-split (B-SP) occurs in which the phase shifters at the IRS elements fail to beamform at a desired user equipment (UE) over the total allotted bandwidth (BW). Although B-SP is usually seen as an impairment, in this paper, we take an optimistic view and exploit the B-SP effect to enhance the system performance via an orthogonal frequency division multiple access (OFDMA). We argue that due to the B-SP, when an IRS is tuned to beamform at a particular angle on one frequency, it also forms beams in different directions on other frequencies. Then, by opportunistically scheduling different UEs on different subcarriers (SCs), we show that, almost surely, the optimal array gain that scales quadratically in the number of IRS elements can be achieved on all SCs in the system. We derive the achievable throughput of the proposed scheme and deduce that the system also enjoys additional multi-user diversity benefits on top of the optimal beamforming gain over the full BW. Finally, we verify our findings via numerical simulations.



Abstract:We investigate the impact of multiple distributed intelligent reflecting surfaces (IRSs), which are deployed and optimized by a mobile operator (MO), on the performance of user equipments (UEs) served by other co-existing out-of-band (OOB) MOs that do not control the IRSs. We show that, under round-robin scheduling, in mmWave frequencies, the ergodic sum spectral efficiency (SE) of an OOB MO is monotonic in the total number of IRS elements with a pre-log factor that depends on the channel properties of the OOB UE. We further show that the maximum achievable SE of OOB MO scales log-linearly in IRS elements. Then, by specifying the minimum number of IRSs as a function of the channel parameters, we design a distributed IRS system in which an OOB MO almost surely obtains the maximum SE. Finally, we prove that the outage probability at an OOB UE decreases exponentially in the number of IRSs, even though they are randomly configured from the UE's viewpoint. We numerically verify our theory and conclude that distributed IRSs always help every MO, but the MO controlling the IRSs benefits the most.




Abstract:Sparsity constraints on the control inputs of a linear dynamical system naturally arise in several practical applications such as networked control, computer vision, seismic signal processing, and cyber-physical systems. In this work, we consider the problem of jointly estimating the states and sparse inputs of such systems from low-dimensional (compressive) measurements. Due to the low-dimensional measurements, conventional Kalman filtering and smoothing algorithms fail to accurately estimate the states and inputs. We present a Bayesian approach that exploits the input sparsity to significantly improve estimation accuracy. Sparsity in the input estimates is promoted by using different prior distributions on the input. We investigate two main approaches: regularizer-based MAP, and {Bayesian learning-based estimation}. We also extend the approaches to handle control inputs with common support and analyze the time and memory complexities of the presented algorithms. Finally, using numerical simulations, we show that our algorithms outperform the state-of-the-art methods in terms of accuracy and time/memory complexities, especially in the low-dimensional measurement regime.
Abstract:In this paper, we present a comparative study of half-duplex (HD) access points (APs) with dynamic time-division duplex (DTDD) and full-duplex (FD) APs in cell-free (CF) systems. Although both DTDD and FD CF systems support concurrent downlink transmission and uplink reception capability, the sum spectral efficiency (SE) is limited by various cross-link interferences. We first present a novel pilot allocation scheme that minimizes the pilot length required to ensure no pilot contamination among the user equipments (UEs) served by at least one common AP. Then, we derive the sum SE in closed form, considering zero-forcing combining and precoding along with the signal-to-interference plus noise ratio optimal weighting at the central processing unit. We also present a provably convergent algorithm for joint uplink-downlink power allocation and uplink/downlink mode scheduling of the APs (for DTDD) to maximize the sum SE. Our numerical results illustrate the superiority of the proposed algorithms over several benchmarks and show that the sum SE with DTDD can outperform an FD CF system with similar antenna density. Thus, DTDD combined with CF is a promising alternative to FD that attains the same performance using HD APs, while obviating the burden of intra-AP interference cancellation.
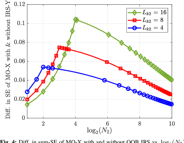
Abstract:Intelligent reflecting surfaces (IRSs) were introduced to enhance the performance of wireless communication systems. However, from a service provider's viewpoint, a concern with the use of an IRS is its effect on out-of-band (OOB) quality of service. Specifically, if two operators, say X and Y, provide services in a given geographical area using non-overlapping frequency bands, and if operator X uses an IRS to enhance the spectral efficiency (SE) of its users, does it degrade the performance of users served by operator Y? We answer this question by analyzing the average and instantaneous performances of the OOB operator considering both sub-6 GHz and mmWave bands, accounting for their corresponding channel characteristics. Specifically, we derive the ergodic sum-spectral efficiency achieved by the operators under round-robin scheduling. We also derive the outage probability and analyze the change in the SNR witnessed by an OOB user in the presence of the IRS using stochastic dominance theory. Surprisingly, even though the IRS is randomly configured from operator Y's point of view, the OOB operator still benefits from the presence of the IRS, witnessing a performance enhancement for free, in both sub-6 GHz and mmWave bands. This is because the IRS introduces additional paths between the transmitter and receiver, increasing the overall signal power arriving at the receiver and providing diversity benefits. We numerically illustrate our findings and conclude that an IRS is always beneficial to every operator, even when the IRS is deployed and controlled by only one operator to serve its own users.




Abstract:Irregular repetition slotted aloha (IRSA) is a massive random access protocol which can be used to serve a large number of users while achieving a packet loss rate (PLR) close to zero. However, if the number of users is too high, then the system is interference limited and the PLR is close to one. In this paper, we propose a variant of IRSA in the interference limited regime, namely Censored-IRSA (C-IRSA), wherein users with poor channel states censor themselves from transmitting their packets. We theoretically analyze the throughput performance of C-IRSA via density evolution. Using this, we derive closed-form expressions for the optimal choice of the censor threshold which maximizes the throughput while achieving zero PLR among uncensored users. Through extensive numerical simulations, we show that C-IRSA can achieve a 4$\times$ improvement in the peak throughput compared to conventional IRSA.



Abstract:Intelligent reflecting surfaces (IRSs) were introduced in the literature in order to enhance the performance of the wireless systems. However, from a cellular service provider's point of view, a concern with the use of an IRS is its effect on out-of-band (OOB) quality of service. Specifically, if there are two operators, say X and Y, providing services in a given geographical area using non-overlapping frequency bands, and if operator X uses an IRS to optimally enhance the throughput of it's users, does the IRS degrade the performance of operator Y? We study this scenario by analyzing the ergodic sum-rates achieved by both the operators under round-robin scheduling. We also derive the complementary cumulative distribution function of the change in the effective channel gain at an OOB user with and without the IRS, which provides deeper insights into the effect of the IRS on the overall channel quality. Surprisingly, we find that even though the IRS is randomly configured from operator Y's point of view, the OOB operator still benefits from the presence of the IRS, witnessing a performance enhancement for free. This happens because the IRS introduces additional paths between the transmitter and receiver, increasing the overall signal power arriving at the receiver and providing diversity benefits. We verify our findings via numerical simulations, and conclude that an IRS is always beneficial to every operator, even when the IRS is deployed to optimally serve only one operator in the system.