Abstract:This study explores the sources of instability in maintaining cultural personas and opinions within multi-agent LLM systems. Drawing on simulations of inter-cultural collaboration and debate, we analyze agents' pre- and post-discussion private responses alongside chat transcripts to assess the stability of cultural personas and the impact of opinion diversity on group outcomes. Our findings suggest that multi-agent discussions can encourage collective decisions that reflect diverse perspectives, yet this benefit is tempered by the agents' susceptibility to conformity due to perceived peer pressure and challenges in maintaining consistent personas and opinions. Counterintuitively, instructions that encourage debate in support of one's opinions increase the rate of inconstancy. Without addressing the factors we identify, the full potential of multi-agent frameworks for producing more culturally diverse AI outputs will remain untapped.

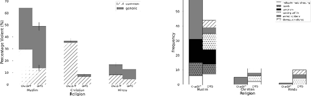
Abstract:Abid et al. (2021) showed a tendency in GPT-3 to generate violent completions when prompted about Muslims, compared with other religions. Two pre-registered replication attempts found few violent completions and only the weakest anti-Muslim bias in the Instruct version, fine-tuned to eliminate biased and toxic outputs. However, more pre-registered experiments showed that using common names associated with the religions in prompts increases several-fold the rate of violent completions, revealing a highly significant second-order bias against Muslims. Our content analysis revealed religion-specific violent themes containing highly offensive ideas regardless of prompt format. Replications with ChatGPT suggest that any effects of GPT-3's de-biasing have disappeared with continued model development, as this newer model showed both a strong Muslim-violence bias and rates of violent completions closer to Abid et al. (2021). Our results show the need for continual de-biasing of models in ways that address higher-order associations.




Abstract:Large language models (LLMs) have recently become remarkably good at improving developer productivity for high-resource programming languages. These models use two kinds of data: large amounts of unlabeled code samples for pretraining and relatively smaller amounts of labeled code samples for fine-tuning or in-context learning. Unfortunately, many programming languages are low-resource, lacking labeled samples for most tasks and often even lacking unlabeled samples. Therefore, users of low-resource languages (e.g., legacy or new languages) miss out on the benefits of LLMs. Cross-lingual transfer learning uses data from a source language to improve model performance on a target language. It has been well-studied for natural languages, but has received little attention for programming languages. This paper reports extensive experiments on four tasks using a transformer-based LLM and 11 to 41 programming languages to explore the following questions. First, how well cross-lingual transfer works for a given task across different language pairs. Second, given a task and target language, how to best choose a source language. Third, the characteristics of a language pair that are predictive of transfer performance, and fourth, how that depends on the given task.
Abstract:Constructing model-agnostic group equivariant networks, such as equitune (Basu et al., 2023b) and its generalizations (Kim et al., 2023), can be computationally expensive for large product groups. We address this by providing efficient model-agnostic equivariant designs for two related problems: one where the network has multiple inputs each with potentially different groups acting on them, and another where there is a single input but the group acting on it is a large product group. For the first design, we initially consider a linear model and characterize the entire equivariant space that satisfies this constraint. This characterization gives rise to a novel fusion layer between different channels that satisfies an invariance-symmetry (IS) constraint, which we call an IS layer. We then extend this design beyond linear models, similar to equitune, consisting of equivariant and IS layers. We also show that the IS layer is a universal approximator of invariant-symmetric functions. Inspired by the first design, we use the notion of the IS property to design a second efficient model-agnostic equivariant design for large product groups acting on a single input. For the first design, we provide experiments on multi-image classification where each view is transformed independently with transformations such as rotations. We find equivariant models are robust to such transformations and perform competitively otherwise. For the second design, we consider three applications: language compositionality on the SCAN dataset to product groups; fairness in natural language generation from GPT-2 to address intersectionality; and robust zero-shot image classification with CLIP. Overall, our methods are simple and general, competitive with equitune and its variants, while also being computationally more efficient.