Abstract:This paper proposes a novel method of coverage path planning for the purpose of scanning an unstructured environment autonomously. The method uses the morphological skeleton of the prior 2D navigation map via SLAM to generate a sequence of points of interest (POIs). This sequence is then ordered to create an optimal path given the robot's current position. To control the high-level operation, a finite state machine is used to switch between two modes: navigating towards a POI using Nav2, and scanning the local surrounding. We validate the method in a leveled indoor obstacle-free non-convex environment on time efficiency and reachability over five trials. The map reader and the path planner can quickly process maps of width and height ranging between [196,225] pixels and [185,231] pixels in 2.52 ms/pixel and 1.7 ms/pixel, respectively, where their computation time increases with 22.0 ns/pixel and 8.17 $\mu$s/pixel, respectively. The robot managed to reach 86.5\% of all waypoints over all five runs. The proposed method suffers from drift occurring in the 2D navigation map.




Abstract:Affine formation control is a subset of formation control methods, which has gained increasing popularity for its flexibility and maneuverability in diverse applications. Affine formation control is inherently distributed in nature, where the local controllers onboard each agent are linearly dependent on the relative position measurements of the neighboring agents. The unavailability of these measurements in practice, due to node failure or missing links, leads to a change in the underlying graph topology, and subsequently causes instability and sub-optimal performance. In this paper, we propose an estimation framework to enhance the robustness of distributed affine formation control systems against these topology changes. Our estimation framework features an adaptive fusion of both temporal information from the dynamics of agents and spatial information which is derived from the geometry of the affine formations. We propose a suite of algorithms under this framework to tackle various practical scenarios, and numerically verify our proposed estimator on stability, convergence rate, and optimality criterion. Simulations show the performance of our proposed algorithms as compared to the state-of-the-art methods, and we summarize them with future research directions.




Abstract:Efficient path planning is key for safe autonomous navigation over complex and unknown terrains. Lunar Zebro (LZ), a project of the Delft University of Technology, aims to deploy a compact rover, no larger than an A4 sheet of paper and weighing not more than 3 kilograms. In this work, we introduce a Robust Artificial Potential Field (RAPF) algorithm, a new path-planning algorithm for reliable local navigation solution for lunar microrovers. RAPF leverages and improves state of the art Artificial Potential Field (APF)-based methods by incorporating the position of the robot in the generation of bacteria points and considering local minima as regions to avoid. We perform both simulations and on field experiments to validate the performance of RAPF, which outperforms state-of-the-art APF-based algorithms by over 15% in reachability within a similar or shorter planning time. The improvements resulted in a 200% higher success rate and 50% lower computing time compared to the conventional APF algorithm. Near-optimal paths are computed in real-time with limited available processing power. The bacterial approach of the RAPF algorithm proves faster to execute and smaller to store than path planning algorithms used in existing planetary rovers, showcasing its potential for reliable lunar exploration with computationally constrained and energy constrained robotic systems.
Abstract:Accurate global localization is crucial for autonomous navigation and planning. To this end, GPS-aided Visual-Inertial Odometry (GPS-VIO) fusion algorithms are proposed in the literature. This paper presents a novel GPS-VIO system that is able to significantly benefit from the online adaptive calibration of the rotational extrinsic parameter between the GPS reference frame and the VIO reference frame. The behind reason is this parameter is observable. This paper provides novel proof through nonlinear observability analysis. We also evaluate the proposed algorithm extensively on diverse platforms, including flying UAV and driving vehicle. The experimental results support the observability analysis and show increased localization accuracy in comparison to state-of-the-art (SOTA) tightly-coupled algorithms.
Abstract:A new Sense and Avoid (SAA) method for safe navigation of small-sized UAVs within an airspace is proposed in this paper. The proposed method relies upon cooperation between the UAV and the surrounding transponder-equipped aviation obstacles. To do so, the aviation obstacles share their altitude and their identification code with the UAV by using a miniaturized Mode S operation Secondary surveillance radar (SSR) after interrogation. The proposed SAA algorithm removes the need for a primary radar and a clock synchronization since it relies on the estimate of the aviation obstacle's elevation angle for ranging. This results in more accurate ranging compared to the round-trip time-based ranging. We also propose a new radial velocity estimator for the Mode S operation of the SSR which is employed in the proposed SAA system. The root-mean-square error (RMSE) of the proposed estimators are analytically derived. Moreover, by considering the pulse-position modulation (PPM) of the transponder reply as a waveform of pulse radar with staggered multiple pulse repetition frequencies, the maximum unambiguous radial velocity is obtained. Given these estimated parameters, our proposed SAA method classifies the aviation obstacles into high-, medium-, and low-risk intruders. The output of the classifier enables the UAV to plan its path or maneuver for safe navigation accordingly. The effectiveness of the proposed estimators and the SAA method is confirmed through simulation experiments.

Abstract:Sensor calibration is an indispensable feature in any networked cyberphysical system. In this paper we consider a sensor network plagued with offset errors measuring a rank-1 signal subspace where each sensor collects measurements under additive zero-mean Gaussian noise. Under varying assumptions on the underlying noise covariance, we investigate the effect of using an arbitrary reference for estimating the sensor offsets in contrast to the mean of all the unknown sensor offsets as a reference. We show that the mean reference yields an efficient estimator in the mean square error sense. If the underlying noise is homoscedastic in nature then the mean reference yields a factor 2 improvement on the variance as compared any arbitrarily chosen reference within the network. Furthermore when the underlying noise is independent, but not identical, we derive an expression for the improvement offered by the mean reference. We demonstrate our results using the problem of clock synchronization in sensor networks, and present directions for future work.




Abstract:The accurate environment perception of automobiles and UAVs (Unmanned Ariel Vehicles) relies on the precision of onboard sensors, which require reliable in-field calibration. This paper introduces a novel approach for targetless camera-LiDAR extrinsic calibration called Multi-FEAT (Multi-Feature Edge AlignmenT). Multi-FEAT uses the cylindrical projection model to transform the 2D(Camera)-3D(LiDAR) calibration problem into a 2D-2D calibration problem, and exploits various LiDAR feature information to supplement the sparse LiDAR point cloud boundaries. In addition, a feature matching function with a precision factor is designed to improve the smoothness of the solution space. The performance of the proposed Multi-FEAT algorithm is evaluated using the KITTI dataset, and our approach shows more reliable results, as compared with several existing targetless calibration methods. We summarize our results and present potential directions for future work.


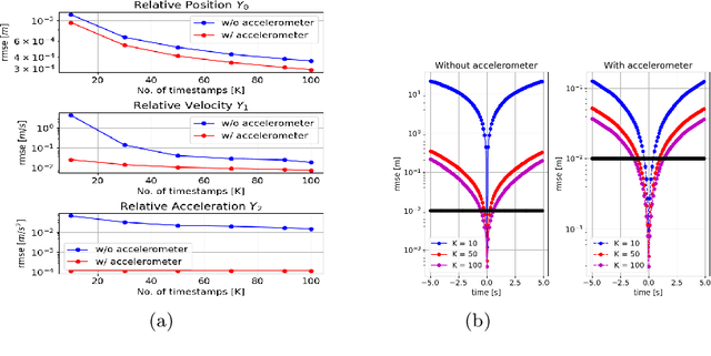
Abstract:Given a network of $N$ static nodes in $D$-dimensional space and the pairwise distances between them, the challenge of estimating the coordinates of the nodes is a well-studied problem. However, for numerous application domains, the nodes are mobile and the estimation of relative kinematics (e.g., position, velocity and acceleration) is a challenge, which has received limited attention in literature. In this paper, we propose a time-varying Grammian-based data model for estimating the relative kinematics of mobile nodes with polynomial trajectories, given the time-varying pairwise distance measurements between the nodes. Furthermore, we consider a scenario where the nodes have on-board accelerometers, and extend the proposed data model to include these accelerometer measurements. We propose closed-form solutions to estimate the relative kinematics, based on the proposed data models. We conduct simulations to showcase the performance of the proposed estimators, which show improvement against state-of-the-art methods.




Abstract:Formation control (FC) of multi-agent plays a critical role in a wide variety of fields. In the absence of absolute positioning, agents in FC systems rely on relative position measurements with respect to their neighbors. In distributed filter design literature, relative observation models are comparatively unexplored, and in FC literature, uncertainty models are rarely considered. In this article, we aim to bridge the gap between these domains, by exploring distributed filters tailored for relative FC of swarms. We propose statistically robust data models for tracking relative positions of agents in a FC network, and subsequently propose optimal Kalman filters for both centralized and distributed scenarios. Our simulations highlight the benefits of these estimators, and we identify future research directions based on our proposed framework.




Abstract:Heart-rate estimation is a fundamental feature of modern wearable devices. In this paper we propose a machine intelligent approach for heart-rate estimation from electrocardiogram (ECG) data collected using wearable devices. The novelty of our approach lies in (1) encoding spatio-temporal properties of ECG signals directly into spike train and using this to excite recurrently connected spiking neurons in a Liquid State Machine computation model; (2) a novel learning algorithm; and (3) an intelligently designed unsupervised readout based on Fuzzy c-Means clustering of spike responses from a subset of neurons (Liquid states), selected using particle swarm optimization. Our approach differs from existing works by learning directly from ECG signals (allowing personalization), without requiring costly data annotations. Additionally, our approach can be easily implemented on state-of-the-art spiking-based neuromorphic systems, offering high accuracy, yet significantly low energy footprint, leading to an extended battery life of wearable devices. We validated our approach with CARLsim, a GPU accelerated spiking neural network simulator modeling Izhikevich spiking neurons with Spike Timing Dependent Plasticity (STDP) and homeostatic scaling. A range of subjects are considered from in-house clinical trials and public ECG databases. Results show high accuracy and low energy footprint in heart-rate estimation across subjects with and without cardiac irregularities, signifying the strong potential of this approach to be integrated in future wearable devices.