Abstract:Integrated sensing and communications (ISAC) has emerged as an intrinsic service of upcoming 6G wireless systems, enabling the reuse of communication signals for environmental sensing and supporting context-aware network functionalities. Meanwhile, the evolution of the wireless infrastructure toward distributed systems creates new opportunities for collaborative sensing from spatially separated nodes. Motivated by this trend, this work investigates a radio stripe aided ISAC system as a low-complexity implementation of a distributed system. We study the trade-off between achievable sum rate and sensing precision when downlink signals are used for target localization within the service area. By exploiting the architectural homogeneity of the radio stripes transceivers, each unit can be dynamically configured to operate in either communication or sensing mode. We formulate a targets localization problem considering the measurements of multiple sensing-communication configurations. Due to the large number of measurements and the continuity of the search space, we propose discretizing the service are and then solve the estimation problem in batches. The targets are finally estimated using a fusion strategy. Our results show that increasing the number devices and sensing APUs boosts sensing precision at the expense of degrading the sum rate. The latter remains constant for a given number of communication APUs regardless of their positions. Moreover, changing the number of antennas reveals a non-monotonic impact on sensing performance due to the trade-off between array gain and illumination uniformity.




Abstract:Radio frequency (RF) wireless energy transfer (WET) is a promising technology for powering the growing ecosystem of Internet of Things (IoT) devices using power beacons (PBs). Recent research focuses on designing efficient PB architectures that can support numerous antennas. In this context, PBs equipped with intelligent surfaces present a promising approach, enabling physically large, reconfigurable arrays. Motivated by these advantages, this work aims to minimize the power consumption of a PB equipped with a passive intelligent transmitting surface (ITS) and a collocated digital beamforming-based feeder to charge multiple single-antenna devices. To model the PB's power consumption accurately, we consider power amplifiers nonlinearities, ITS control power, and feeder-to-ITS air interface losses. The resulting optimization problem is highly nonlinear and nonconvex due to the high-power amplifier (HPA), the received power constraints at the devices, and the unit-modulus constraint imposed by the phase shifter configuration of the ITS. To tackle this issue, we apply successive convex approximation (SCA) to iteratively solve convex subproblems that jointly optimize the digital precoder and phase configuration. Given SCA's sensitivity to initialization, we propose an algorithm that ensures initialization feasibility while balancing convergence speed and solution quality. We compare the proposed ITS-equipped PB's power consumption against benchmark architectures featuring digital and hybrid analog-digital beamforming. Results demonstrate that the proposed architecture efficiently scales with the number of RF chains and ITS elements. We also show that nonuniform ITS power distribution influences beamforming and can shift a device between near- and far-field regions, even with a constant aperture.




Abstract:Internet of Things (IoT) sustainability may hinge on radio frequency wireless energy transfer (RF-WET). However, energy-efficient charging strategies are still needed, motivating our work. Specifically, this letter proposes a time division scheme to efficiently charge low-power devices in an IoT network. For this, a multi-antenna power beacon (PB) drives the devices' energy harvesting circuit to the highest power conversion efficiency point via energy beamforming, thus achieving minimum energy consumption. Herein, we adopt the analog multi-antenna architecture due to its low complexity, cost, and energy consumption. The proposal includes a simple yet accurate model for the transfer characteristic of the energy harvesting circuit, enabling the optimization framework. The results evince the effectiveness of our RF-WET strategy over a benchmark scheme where the PB charges all the IoT devices simultaneously. Furthermore, the performance increases with the number of PB antennas.
Abstract:Reliable energy supply remains a crucial challenge in the Internet of Things (IoT). Although relying on batteries is cost-effective for a few devices, it is neither a scalable nor a sustainable charging solution as the network grows massive. Besides, current energy-saving technologies alone cannot cope, for instance, with the vision of zero-energy devices and the deploy-and-forget paradigm which can unlock a myriad of new use cases. In this context, sustainable radio frequency wireless energy transfer emerges as an attractive solution for efficiently charging the next generation of ultra low power IoT devices. Herein, we highlight that sustainable charging is broader than conventional green charging, as it focuses on balancing economy prosperity and social equity in addition to environmental health. Moreover, we overview the key enablers for realizing this vision and associated challenges. We discuss the economic implications of powering energy transmitters with ambient energy sources, and reveal insights on their optimal deployment. We highlight relevant research challenges and candidate solutions.




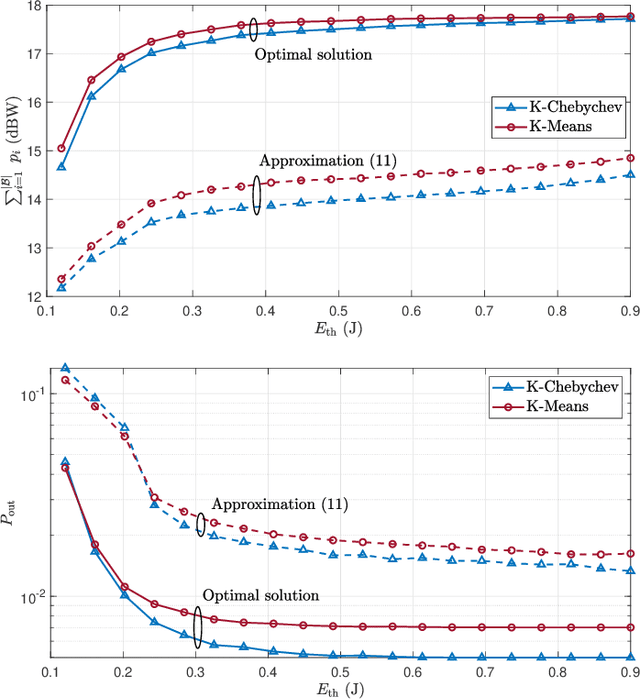
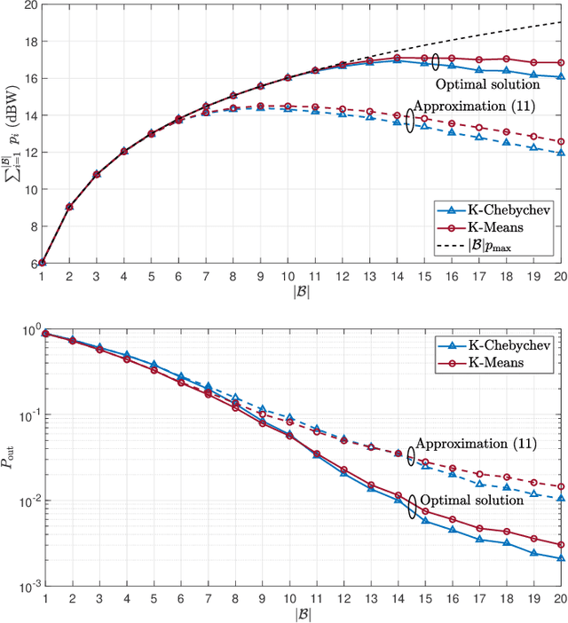
Abstract:The Internet of Things (IoT) comprises an increasing number of low-power and low-cost devices that autonomously interact with the surrounding environment. As a consequence of their popularity, future IoT deployments will be massive, which demands energy-efficient systems to extend their lifetime and improve the user experience. Radio frequency wireless energy transfer has the potential of powering massive IoT networks, thus eliminating the need for frequent battery replacement by using the so-called power beacons (PBs). In this paper, we provide a framework for minimizing the sum transmit power of the PBs using devices' positions information and their current battery state. Our strategy aims to reduce the PBs' power consumption and to mitigate the possible impact of the electromagnetic radiation on human health. We also present analytical insights for the case of very distant clusters and evaluate their applicability. Numerical results show that our proposed framework reduces the outage probability as the number of PBs and/or the energy demands increase.