Abstract:Multimodal Retrieval-Augmented Generation (MRAG) has emerged as a promising method to generate factual and up-to-date responses of Multimodal Large Language Models (MLLMs) by incorporating non-parametric knowledge from external knowledge bases. However, existing MRAG approaches suffer from static retrieval strategies, inflexible modality selection, and suboptimal utilization of retrieved information, leading to three critical challenges: determining when to retrieve, what modality to incorporate, and how to utilize retrieved information effectively. To address these challenges, we introduce Windsock, a query-dependent module making decisions on retrieval necessity and modality selection, effectively reducing computational overhead and improving response quality. Additionally, we propose Dynamic Noise-Resistance (DANCE) Instruction Tuning, an adaptive training strategy that enhances MLLMs' ability to utilize retrieved information while maintaining robustness against noise. Moreover, we adopt a self-assessment approach leveraging knowledge within MLLMs to convert question-answering datasets to MRAG training datasets. Extensive experiments demonstrate that our proposed method significantly improves the generation quality by 17.07% while reducing 8.95% retrieval times.




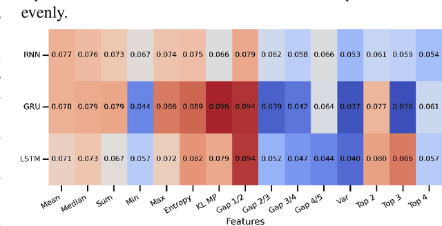
Abstract:Large language models (LLMs) offer broad utility but remain prone to hallucination and out-of-distribution (OOD) errors. We propose EigenTrack, an interpretable real-time detector that uses the spectral geometry of hidden activations, a compact global signature of model dynamics. By streaming covariance-spectrum statistics such as entropy, eigenvalue gaps, and KL divergence from random baselines into a lightweight recurrent classifier, EigenTrack tracks temporal shifts in representation structure that signal hallucination and OOD drift before surface errors appear. Unlike black- and grey-box methods, it needs only a single forward pass without resampling. Unlike existing white-box detectors, it preserves temporal context, aggregates global signals, and offers interpretable accuracy-latency trade-offs.




Abstract:AI deployed in the real-world should be capable of autonomously adapting to novelties encountered after deployment. Yet, in the field of continual learning, the reliance on novelty and labeling oracles is commonplace albeit unrealistic. This paper addresses a challenging and under-explored problem: a deployed AI agent that continuously encounters unlabeled data - which may include both unseen samples of known classes and samples from novel (unknown) classes - and must adapt to it continuously. To tackle this challenge, we propose our method COUQ "Continual Open-world Uncertainty Quantification", an iterative uncertainty estimation algorithm tailored for learning in generalized continual open-world multi-class settings. We rigorously apply and evaluate COUQ on key sub-tasks in the Continual Open-World: continual novelty detection, uncertainty guided active learning, and uncertainty guided pseudo-labeling for semi-supervised CL. We demonstrate the effectiveness of our method across multiple datasets, ablations, backbones and performance superior to state-of-the-art.



Abstract:In the field of continual learning, relying on so-called oracles for novelty detection is commonplace albeit unrealistic. This paper introduces CONCLAD ("COntinuous Novel CLAss Detector"), a comprehensive solution to the under-explored problem of continual novel class detection in post-deployment data. At each new task, our approach employs an iterative uncertainty estimation algorithm to differentiate between known and novel class(es) samples, and to further discriminate between the different novel classes themselves. Samples predicted to be from a novel class with high-confidence are automatically pseudo-labeled and used to update our model. Simultaneously, a tiny supervision budget is used to iteratively query ambiguous novel class predictions, which are also used during update. Evaluation across multiple datasets, ablations and experimental settings demonstrate our method's effectiveness at separating novel and old class samples continuously. We will release our code upon acceptance.




Abstract:AI deployed in many real-world use cases should be capable of adapting to novelties encountered after deployment. Here, we consider a challenging, under-explored and realistic continual adaptation problem: a deployed AI agent is continuously provided with unlabeled data that may contain not only unseen samples of known classes but also samples from novel (unknown) classes. In such a challenging setting, it has only a tiny labeling budget to query the most informative samples to help it continuously learn. We present a comprehensive solution to this complex problem with our model "CUAL" (Continual Uncertainty-aware Active Learner). CUAL leverages an uncertainty estimation algorithm to prioritize active labeling of ambiguous (uncertain) predicted novel class samples while also simultaneously pseudo-labeling the most certain predictions of each class. Evaluations across multiple datasets, ablations, settings and backbones (e.g. ViT foundation model) demonstrate our method's effectiveness. We will release our code upon acceptance.




Abstract:Large language models (LLMs) have revolutionized the field of natural language processing with their impressive reasoning and question-answering capabilities. However, these models are sometimes prone to generating credible-sounding but incorrect information, a phenomenon known as LLM hallucinations. Reliable uncertainty estimation in LLMs is essential for fostering trust in their generated responses and serves as a critical tool for the detection and prevention of erroneous or hallucinated outputs. To achieve reliable and well-calibrated uncertainty quantification in open-ended and free-form natural language generation, we propose an uncertainty-aware fine-tuning approach for LLMs. This approach enhances the model's ability to provide reliable uncertainty estimates without compromising accuracy, thereby guiding them to produce more trustworthy responses. We introduce a novel uncertainty-aware causal language modeling loss function, grounded in the principles of decision theory. Through rigorous evaluation on multiple free-form question-answering datasets and models, we demonstrate that our uncertainty-aware fine-tuning approach yields better calibrated uncertainty estimates in natural language generation tasks than fine-tuning with the standard causal language modeling loss. Furthermore, the experimental results show that the proposed method significantly improves the model's ability to detect hallucinations and identify out-of-domain prompts.




Abstract:Recent years have seen a tremendous growth in both the capability and popularity of automatic machine analysis of images and video. As a result, a growing need for efficient compression methods optimized for machine vision, rather than human vision, has emerged. To meet this growing demand, several methods have been developed for image and video coding for machines. Unfortunately, while there is a substantial body of knowledge regarding rate-distortion theory for human vision, the same cannot be said of machine analysis. In this paper, we extend the current rate-distortion theory for machines, providing insight into important design considerations of machine-vision codecs. We then utilize this newfound understanding to improve several methods for learnable image coding for machines. Our proposed methods achieve state-of-the-art rate-distortion performance on several computer vision tasks such as classification, instance segmentation, and object detection.




Abstract:Reliable uncertainty quantification in deep neural networks is very crucial in safety-critical applications such as automated driving for trustworthy and informed decision-making. Assessing the quality of uncertainty estimates is challenging as ground truth for uncertainty estimates is not available. Ideally, in a well-calibrated model, uncertainty estimates should perfectly correlate with model error. We propose a novel error aligned uncertainty optimization method and introduce a trainable loss function to guide the models to yield good quality uncertainty estimates aligning with the model error. Our approach targets continuous structured prediction and regression tasks, and is evaluated on multiple datasets including a large-scale vehicle motion prediction task involving real-world distributional shifts. We demonstrate that our method improves average displacement error by 1.69% and 4.69%, and the uncertainty correlation with model error by 17.22% and 19.13% as quantified by Pearson correlation coefficient on two state-of-the-art baselines.
Abstract:This paper presents a fast and principled approach for solving the visual anomaly detection and segmentation problem. In this setup, we have access to only anomaly-free training data and want to detect and identify anomalies of an arbitrary nature on test data. We propose the application of linear statistical dimensionality reduction techniques on the intermediate features produced by a pretrained DNN on the training data, in order to capture the low-dimensional subspace truly spanned by said features. We show that the \emph{feature reconstruction error} (FRE), which is the $\ell_2$-norm of the difference between the original feature in the high-dimensional space and the pre-image of its low-dimensional reduced embedding, is extremely effective for anomaly detection. Further, using the same feature reconstruction error concept on intermediate convolutional layers, we derive FRE maps that provide pixel-level spatial localization of the anomalies in the image (i.e. segmentation). Experiments using standard anomaly detection datasets and DNN architectures demonstrate that our method matches or exceeds best-in-class quality performance, but at a fraction of the computational and memory cost required by the state of the art. It can be trained and run very efficiently, even on a traditional CPU.




Abstract:Split computing has emerged as a recent paradigm for implementation of DNN-based AI workloads, wherein a DNN model is split into two parts, one of which is executed on a mobile/client device and the other on an edge-server (or cloud). Data compression is applied to the intermediate tensor from the DNN that needs to be transmitted, addressing the challenge of optimizing the rate-accuracy-complexity trade-off. Existing split-computing approaches adopt ML-based data compression, but require that the parameters of either the entire DNN model, or a significant portion of it, be retrained for different compression levels. This incurs a high computational and storage burden: training a full DNN model from scratch is computationally demanding, maintaining multiple copies of the DNN parameters increases storage requirements, and switching the full set of weights during inference increases memory bandwidth. In this paper, we present an approach that addresses all these challenges. It involves the systematic design and training of bottleneck units - simple, low-cost neural networks - that can be inserted at the point of split. Our approach is remarkably lightweight, both during training and inference, highly effective and achieves excellent rate-distortion performance at a small fraction of the compute and storage overhead compared to existing methods.