



Abstract:Computer-aided diagnosis (CAD) has long become an integral part of radiological management of breast disease, facilitating a number of important clinical applications, including quantitative assessment of breast density and early detection of malignancies based on X-ray mammography. Common to such applications is the need to automatically discriminate between breast tissue and adjacent anatomy, with the latter being predominantly represented by pectoralis major (or pectoral muscle). Especially in the case of mammograms acquired in the mediolateral oblique (MLO) view, the muscle is easily confusable with some elements of breast anatomy due to their morphological and photometric similarity. As a result, the problem of automatic detection and segmentation of pectoral muscle in MLO mammograms remains a challenging task, innovative approaches to which are still required and constantly searched for. To address this problem, the present paper introduces a two-step segmentation strategy based on a combined use of data-driven prediction (deep learning) and graph-based image processing. In particular, the proposed method employs a convolutional neural network (CNN) which is designed to predict the location of breast-pectoral boundary at different levels of spatial resolution. Subsequently, the predictions are used by the second stage of the algorithm, in which the desired boundary is recovered as a solution to the shortest path problem on a specially designed graph. The proposed algorithm has been tested on three different datasets (i.e., MIAS, CBIS-DDSm and InBreast) using a range of quantitative metrics. The results of comparative analysis show considerable improvement over state-of-the-art, while offering the possibility of model-free and fully automatic processing.




Abstract:The cost-effectiveness and practical harmlessness of ultrasound imaging have made it one of the most widespread tools for medical diagnosis. Unfortunately, the beam-forming based image formation produces granular speckle noise, blurring, shading and other artifacts. To overcome these effects, the ultimate goal would be to reconstruct the tissue acoustic properties by solving a full wave propagation inverse problem. In this work, we make a step towards this goal, using Multi-Resolution Convolutional Neural Networks (CNN). As a result, we are able to reconstruct CT-quality images from the reflected ultrasound radio-frequency(RF) data obtained by simulation from real CT scans of a human body. We also show that CNN is able to imitate existing computationally heavy despeckling methods, thereby saving orders of magnitude in computations and making them amenable to real-time applications.




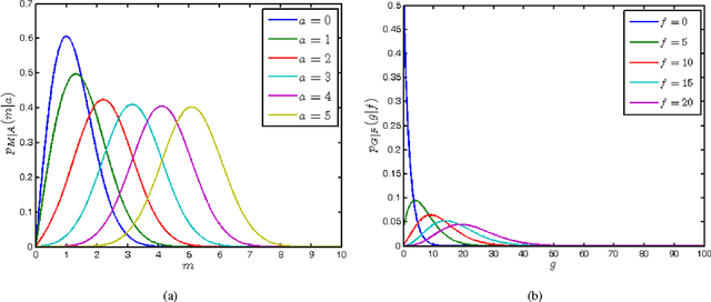
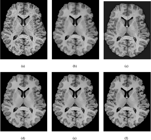
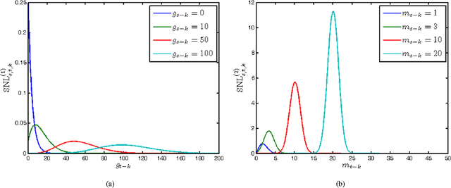
Abstract:The acquisition of MRI images offers a trade-off in terms of acquisition time, spatial/temporal resolution and signal-to-noise ratio (SNR). Thus, for instance, increasing the time efficiency of MRI often comes at the expense of reduced SNR. This, in turn, necessitates the use of post-processing tools for noise rejection, which makes image de-noising an indispensable component of computer assistance diagnosis. In the field of MRI, a multitude of image de-noising methods have been proposed hitherto. In this paper, the application of a particular class of de-noising algorithms - known as non-local mean (NLM) filters - is investigated. Such filters have been recently applied for MRI data enhancement and they have been shown to provide more accurate results as compared to many alternative de-noising algorithms. Unfortunately, virtually all existing methods for NLM filtering have been derived under the assumption of additive white Gaussian (AWG) noise contamination. Since this assumption is known to fail at low values of SNR, an alternative formulation of NLM filtering is required, which would take into consideration the correct Rician statistics of MRI noise. Accordingly, the contribution of the present paper is two-fold. First, it points out some principal disadvantages of the earlier methods of NLM filtering of MRI images and suggests means to rectify them. Second, the paper introduces a new similarity measure for NLM filtering of MRI Images, which is derived under bona fide statistical assumptions and results in more accurate reconstruction of MR scans as compared to alternative NLM approaches. Finally, the utility and viability of the proposed method is demonstrated through a series of numerical experiments using both in silico and in vivo MRI data.