



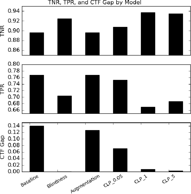
Abstract:In this paper, we study counterfactual fairness in text classification, which asks the question: How would the prediction change if the sensitive attribute discussed in the example were something else? We offer a heuristic for measuring this particular form of fairness in text classifiers by substituting individual tokens pertaining to attributes (e.g. sexual orientation, race, and religion), and describe the relationship with other notions, including individual and group fairness. Further, we offer methods, including hard ablation, blindness, and counterfactual logit pairing, for optimizing this counterfactual fairness metric during model training, bridging the robustness literature and the fairness literature. Empirically, counterfactual logit pairing performs as well as hard ablation and blindness to sensitive tokens, but generalizes better to unseen tokens. Interestingly, we find that in practice, the methods do not significantly harm classifier performance, and have varying tradeoffs with group fairness. These approaches, both for measurement and optimization, provide a new path forward for addressing counterfactual fairness issues.




Abstract:We present models for encoding sentences into embedding vectors that specifically target transfer learning to other NLP tasks. The models are efficient and result in accurate performance on diverse transfer tasks. Two variants of the encoding models allow for trade-offs between accuracy and compute resources. For both variants, we investigate and report the relationship between model complexity, resource consumption, the availability of transfer task training data, and task performance. Comparisons are made with baselines that use word level transfer learning via pretrained word embeddings as well as baselines do not use any transfer learning. We find that transfer learning using sentence embeddings tends to outperform word level transfer. With transfer learning via sentence embeddings, we observe surprisingly good performance with minimal amounts of supervised training data for a transfer task. We obtain encouraging results on Word Embedding Association Tests (WEAT) targeted at detecting model bias. Our pre-trained sentence encoding models are made freely available for download and on TF Hub.