


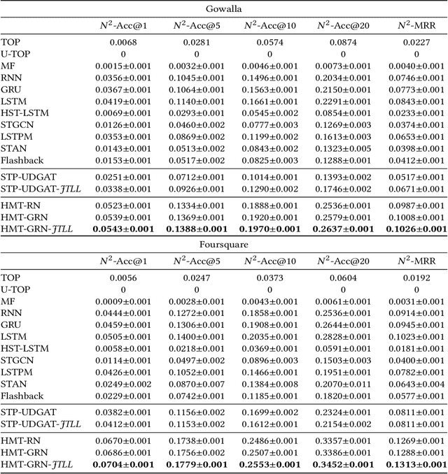
Abstract:Sparsity of the User-POI matrix is a well established problem for next POI recommendation, which hinders effective learning of user preferences. Focusing on a more granular extension of the problem, we propose a Joint Triplet Loss Learning (JTLL) module for the Next New ($N^2$) POI recommendation task, which is more challenging. Our JTLL module first computes additional training samples from the users' historical POI visit sequence, then, a designed triplet loss function is proposed to decrease and increase distances of POI and user embeddings based on their respective relations. Next, the JTLL module is jointly trained with recent approaches to additionally learn unvisited relations for the recommendation task. Experiments conducted on two known real-world LBSN datasets show that our joint training module was able to improve the performances of recent existing works.




Abstract:The traveling salesman problem is a fundamental combinatorial optimization problem with strong exact algorithms. However, as problems scale up, these exact algorithms fail to provide a solution in a reasonable time. To resolve this, current works look at utilizing deep learning to construct reasonable solutions. Such efforts have been very successful, but tend to be slow and compute intensive. This paper exemplifies the integration of entropic regularized optimal transport techniques as a layer in a deep reinforcement learning network. We show that we can construct a model capable of learning without supervision and inferences significantly faster than current autoregressive approaches. We also empirically evaluate the benefits of including optimal transport algorithms within deep learning models to enforce assignment constraints during end-to-end training.




Abstract:Next destination recommendation is an important task in the transportation domain of taxi and ride-hailing services, where users are recommended with personalized destinations given their current origin location. However, recent recommendation works do not satisfy this origin-awareness property, and only consider learning from historical destination locations, without origin information. Thus, the resulting approaches are unable to learn and predict origin-aware recommendations based on the user's current location, leading to sub-optimal performance and poor real-world practicality. Hence, in this work, we study the origin-aware next destination recommendation task. We propose the Spatial-Temporal Origin-Destination Personalized Preference Attention (STOD-PPA) encoder-decoder model to learn origin-origin (OO), destination-destination (DD), and origin-destination (OD) relationships by first encoding both origin and destination sequences with spatial and temporal factors in local and global views, then decoding them through personalized preference attention to predict the next destination. Experimental results on seven real-world user trajectory taxi datasets show that our model significantly outperforms baseline and state-of-the-art methods.




Abstract:Next Point-of-Interest (POI) recommendation is a longstanding problem across the domains of Location-Based Social Networks (LBSN) and transportation. Recent Recurrent Neural Network (RNN) based approaches learn POI-POI relationships in a local view based on independent user visit sequences. This limits the model's ability to directly connect and learn across users in a global view to recommend semantically trained POIs. In this work, we propose a Spatial-Temporal-Preference User Dimensional Graph Attention Network (STP-UDGAT), a novel explore-exploit model that concurrently exploits personalized user preferences and explores new POIs in global spatial-temporal-preference (STP) neighbourhoods, while allowing users to selectively learn from other users. In addition, we propose random walks as a masked self-attention option to leverage the STP graphs' structures and find new higher-order POI neighbours during exploration. Experimental results on six real-world datasets show that our model significantly outperforms baseline and state-of-the-art methods.