


Abstract:We address the determined audio source separation problem in the time-frequency domain. In independent deeply learned matrix analysis (IDLMA), it is assumed that the inter-frequency correlation of each source spectrum is zero, which is inappropriate for modeling nonstationary signals such as music signals. To account for the correlation between frequencies, independent positive semidefinite tensor analysis has been proposed. This unsupervised (blind) method, however, severely restrict the structure of frequency covariance matrices (FCMs) to reduce the number of model parameters. As an extension of these conventional approaches, we here propose a supervised method that models FCMs using deep neural networks (DNNs). It is difficult to directly infer FCMs using DNNs. Therefore, we also propose a new FCM model represented as a convex combination of a diagonal FCM and a rank-1 FCM. Our FCM model is flexible enough to not only consider inter-frequency correlation, but also capture the dynamics of time-varying FCMs of nonstationary signals. We infer the proposed FCMs using two DNNs: DNN for power spectrum estimation and DNN for time-domain signal estimation. An experimental result of separating music signals shows that the proposed method provides higher separation performance than IDLMA.




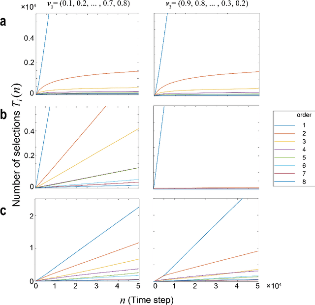
Abstract:By exploiting ultrafast and irregular time series generated by lasers with delayed feedback, we have previously demonstrated a scalable algorithm to solve multi-armed bandit (MAB) problems utilizing the time-division multiplexing of laser chaos time series. Although the algorithm detects the arm with the highest reward expectation, the correct recognition of the order of arms in terms of reward expectations is not achievable. Here, we present an algorithm where the degree of exploration is adaptively controlled based on confidence intervals that represent the estimation accuracy of reward expectations. We have demonstrated numerically that our approach did improve arm order recognition accuracy significantly, along with reduced dependence on reward environments, and the total reward is almost maintained compared with conventional MAB methods. This study applies to sectors where the order information is critical, such as efficient allocation of resources in information and communications technology.