



Abstract:Clarifying questions are an integral component of modern information retrieval systems, directly impacting user satisfaction and overall system performance. Poorly formulated questions can lead to user frustration and confusion, negatively affecting the system's performance. This research addresses the urgent need to identify and leverage key features that contribute to the classification of clarifying questions, enhancing user satisfaction. To gain deeper insights into how different features influence user satisfaction, we conduct a comprehensive analysis, considering a broad spectrum of lexical, semantic, and statistical features, such as question length and sentiment polarity. Our empirical results provide three main insights into the qualities of effective query clarification: (1) specific questions are more effective than generic ones; (2) the subjectivity and emotional tone of a question play a role; and (3) shorter and more ambiguous queries benefit significantly from clarification. Based on these insights, we implement feature-integrated user satisfaction prediction using various classifiers, both traditional and neural-based, including random forest, BERT, and large language models. Our experiments show a consistent and significant improvement, particularly in traditional classifiers, with a minimum performance boost of 45\%. This study presents invaluable guidelines for refining the formulation of clarifying questions and enhancing both user satisfaction and system performance.
Abstract:In recent years, there has been an increasing recognition that when machine learning (ML) algorithms are used to automate decisions, they may mistreat individuals or groups, with legal, ethical, or economic implications. Recommender systems are prominent examples of these machine learning (ML) systems that aid users in making decisions. The majority of past literature research on RS fairness treats user and item fairness concerns independently, ignoring the fact that recommender systems function in a two-sided marketplace. In this paper, we propose CP-FairRank, an optimization-based re-ranking algorithm that seamlessly integrates fairness constraints from both the consumer and producer side in a joint objective framework. The framework is generalizable and may take into account varied fairness settings based on group segmentation, recommendation model selection, and domain, which is one of its key characteristics. For instance, we demonstrate that the system may jointly increase consumer and producer fairness when (un)protected consumer groups are defined on the basis of their activity level and main-streamness, while producer groups are defined according to their popularity level. For empirical validation, through large-scale on eight datasets and four mainstream collaborative filtering (CF) recommendation models, we demonstrate that our proposed strategy is able to improve both consumer and producer fairness without compromising or very little overall recommendation quality, demonstrating the role algorithms may play in avoiding data biases.




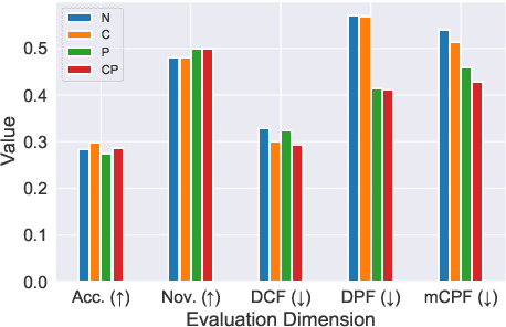
Abstract:Recommender systems, while transformative in online user experiences, have raised concerns over potential provider-side fairness issues. These systems may inadvertently favor popular items, thereby marginalizing less popular ones and compromising provider fairness. While previous research has recognized provider-side fairness issues, the investigation into how these biases affect beyond-accuracy aspects of recommendation systems - such as diversity, novelty, coverage, and serendipity - has been less emphasized. In this paper, we address this gap by introducing a simple yet effective post-processing re-ranking model that prioritizes provider fairness, while simultaneously maintaining user relevance and recommendation quality. We then conduct an in-depth evaluation of the model's impact on various aspects of recommendation quality across multiple datasets. Specifically, we apply the post-processing algorithm to four distinct recommendation models across four varied domain datasets, assessing the improvement in each metric, encompassing both accuracy and beyond-accuracy aspects. This comprehensive analysis allows us to gauge the effectiveness of our approach in mitigating provider biases. Our findings underscore the effectiveness of the adopted method in improving provider fairness and recommendation quality. They also provide valuable insights into the trade-offs involved in achieving fairness in recommender systems, contributing to a more nuanced understanding of this complex issue.
Abstract:Point-of-Interest (POI ) recommendation systems have gained popularity for their unique ability to suggest geographical destinations with the incorporation of contextual information such as time, location, and user-item interaction. Existing recommendation frameworks lack the contextual fusion required for POI systems. This paper presents CAPRI, a novel POI recommendation framework that effectively integrates context-aware models, such as GeoSoCa, LORE, and USG, and introduces a novel strategy for the efficient merging of contextual information. CAPRI integrates an evaluation module that expands the evaluation scope beyond accuracy to include novelty, personalization, diversity, and fairness. With an aim to establish a new industry standard for reproducible results in the realm of POI recommendation systems, we have made CAPRI openly accessible on GitHub, facilitating easy access and contribution to the continued development and refinement of this innovative framework.




Abstract:Recommender systems utilize users' historical data to learn and predict their future interests, providing them with suggestions tailored to their tastes. Calibration ensures that the distribution of recommended item categories is consistent with the user's historical data. Mitigating miscalibration brings various benefits to a recommender system. For example, it becomes less likely that a system overlooks categories with less interaction on a user's profile by only recommending popular categories. Despite the notable success, calibration methods have several drawbacks, such as limiting the diversity of the recommended items and not considering the calibration confidence. This work, presents a set of properties that address various aspects of a desired calibrated recommender system. Considering these properties, we propose a confidence-aware optimization-based re-ranking algorithm to find the balance between calibration, relevance, and item diversity, while simultaneously accounting for calibration confidence based on user profile size. Our model outperforms state-of-the-art methods in terms of various accuracy and beyond-accuracy metrics for different user groups.




Abstract:Recommending appropriate travel destinations to consumers based on contextual information such as their check-in time and location is a primary objective of Point-of-Interest (POI) recommender systems. However, the issue of contextual bias (i.e., how much consumers prefer one situation over another) has received little attention from the research community. This paper examines the effect of temporal bias, defined as the difference between users' check-in hours, leisure vs.~work hours, on the consumer-side fairness of context-aware recommendation algorithms. We believe that eliminating this type of temporal (and geographical) bias might contribute to a drop in traffic-related air pollution, noting that rush-hour traffic may be more congested. To surface effective POI recommendations, we evaluated the sensitivity of state-of-the-art context-aware models to the temporal bias contained in users' check-in activities on two POI datasets, namely Gowalla and Yelp. The findings show that the examined context-aware recommendation models prefer one group of users over another based on the time of check-in and that this preference persists even when users have the same amount of interactions.




Abstract:Recent work in recommender systems mainly focuses on fairness in recommendations as an important aspect of measuring recommendations quality. A fairness-aware recommender system aims to treat different user groups similarly. Relevant work on user-oriented fairness highlights the discriminative behavior of fairness-unaware recommendation algorithms towards a certain user group, defined based on users' activity level. Typical solutions include proposing a user-centered fairness re-ranking framework applied on top of a base ranking model to mitigate its unfair behavior towards a certain user group i.e., disadvantaged group. In this paper, we re-produce a user-oriented fairness study and provide extensive experiments to analyze the dependency of their proposed method on various fairness and recommendation aspects, including the recommendation domain, nature of the base ranking model, and user grouping method. Moreover, we evaluate the final recommendations provided by the re-ranking framework from both user- (e.g., NDCG, user-fairness) and item-side (e.g., novelty, item-fairness) metrics. We discover interesting trends and trade-offs between the model's performance in terms of different evaluation metrics. For instance, we see that the definition of the advantaged/disadvantaged user groups plays a crucial role in the effectiveness of the fairness algorithm and how it improves the performance of specific base ranking models. Finally, we highlight some important open challenges and future directions in this field. We release the data, evaluation pipeline, and the trained models publicly on https://github.com/rahmanidashti/FairRecSys.




Abstract:Recently, there has been a rising awareness that when machine learning (ML) algorithms are used to automate choices, they may treat/affect individuals unfairly, with legal, ethical, or economic consequences. Recommender systems are prominent examples of such ML systems that assist users in making high-stakes judgments. A common trend in the previous literature research on fairness in recommender systems is that the majority of works treat user and item fairness concerns separately, ignoring the fact that recommender systems operate in a two-sided marketplace. In this work, we present an optimization-based re-ranking approach that seamlessly integrates fairness constraints from both the consumer and producer-side in a joint objective framework. We demonstrate through large-scale experiments on 8 datasets that our proposed method is capable of improving both consumer and producer fairness without reducing overall recommendation quality, demonstrating the role algorithms may play in minimizing data biases.



Abstract:Point-of-Interest (POI) recommender systems provide personalized recommendations to users and help businesses attract potential customers. Despite their success, recent studies suggest that highly data-driven recommendations could be impacted by data biases, resulting in unfair outcomes for different stakeholders, mainly consumers (users) and providers (items). Most existing fairness-related research works in recommender systems treat user fairness and item fairness issues individually, disregarding that RS work in a two-sided marketplace. This paper studies the interplay between (i) the unfairness of active users, (ii) the unfairness of popular items, and (iii) the accuracy (personalization) of recommendation as three angles of our study triangle. We group users into advantaged and disadvantaged levels to measure user fairness based on their activity level. For item fairness, we divide items into short-head, mid-tail, and long-tail groups and study the exposure of these item groups into the top-k recommendation list of users. Experimental validation of eight different recommendation models commonly used for POI recommendation (e.g., contextual, CF) on two publicly available POI recommendation datasets, Gowalla and Yelp, indicate that most well-performing models suffer seriously from the unfairness of popularity bias (provider unfairness). Furthermore, our study shows that most recommendation models cannot satisfy both consumer and producer fairness, indicating a trade-off between these variables possibly due to natural biases in data. We choose the POI recommendation as our test scenario; however, the insights should be trivially extendable on other domains.




Abstract:Recent studies have shown that recommendation systems commonly suffer from popularity bias. Popularity bias refers to the problem that popular items (i.e., frequently rated items) are recommended frequently while less popular items are recommended rarely or not at all. Researchers adopted two approaches to examining popularity bias: (i) from the users' perspective, by analyzing how far a recommendation system deviates from user's expectations in receiving popular items, and (ii) by analyzing the amount of exposure that long-tail items receive, measured by overall catalog coverage and novelty. In this paper, we examine the first point of view in the book domain, although the findings may be applied to other domains as well. To this end, we analyze the well-known Book-Crossing dataset and define three user groups based on their tendency towards popular items (i.e., Niche, Diverse, Bestseller-focused). Further, we evaluate the performance of nine state-of-the-art recommendation algorithms and two baselines (i.e., Random, MostPop) from both the accuracy (e.g., NDCG, Precision, Recall) and popularity bias perspectives. Our results indicate that most state-of-the-art recommendation algorithms suffer from popularity bias in the book domain, and fail to meet users' expectations with Niche and Diverse tastes despite having a larger profile size. Conversely, Bestseller-focused users are more likely to receive high-quality recommendations, both in terms of fairness and personalization. Furthermore, our study shows a tradeoff between personalization and unfairness of popularity bias in recommendation algorithms for users belonging to the Diverse and Bestseller groups, that is, algorithms with high capability of personalization suffer from the unfairness of popularity bias.