



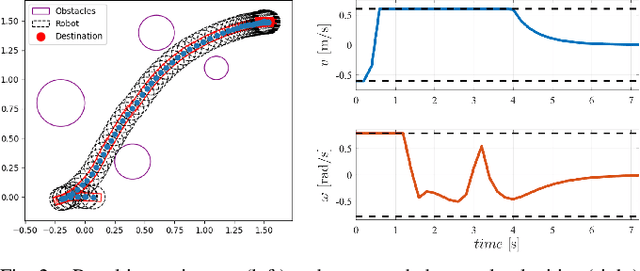
Abstract:Mobile robot navigation can be challenged by system uncertainty. For example, ground friction may vary abruptly causing slipping, and noisy sensor data can lead to inaccurate feedback control. Traditional model-based methods may be limited when considering such variations, making them fragile to varying types of uncertainty. One way to address this is by leveraging learned prediction models by means of the Koopman operator into nonlinear model predictive control (NMPC). This paper describes the formulation of, and provides the solution to, an NMPC problem using a lifted bilinear model that can accurately predict affine input systems with stochastic perturbations. System constraints are defined in the Koopman space, while the optimization problem is solved in the state space to reduce computational complexity. Training data to estimate the Koopman operator for the system are given via randomized control inputs. The output of the developed method enables closed-loop navigation control over environments populated with obstacles. The effectiveness of the proposed method has been tested through numerical simulations using a wheeled robot with additive stochastic velocity perturbations, Gazebo simulations with a realistic digital twin robot, and physical hardware experiments without knowledge of the true dynamics.