Abstract:This paper presents a novel multiband passive sensing system that leverages IEEE 802.11bf Wi-Fi signals for environmental sensing, focusing on both sub-7 GHz and millimeter-wave (mmWave) bands. By combining Channel State Information (CSI) from multiple bands, the system enhances accuracy and reliability in detecting human presence, movement, and activities in indoor environments. Utilizing a novel model, called MILAGRO, the system demonstrates robust performance across different scenarios, including monitoring human presence in workspaces and tracking movement in corridors. Experimental results show high accuracy (95-100%), with improved performance by integrating multiband data. The system also addresses key security concerns associated with passive sensing, proposing measures to mitigate potential risks. This work advances the use of Wi-Fi for passive sensing by reducing reliance on active sensing infrastructure and extending the capabilities of low-cost, non-intrusive environmental monitoring.




Abstract:5G mobile networks introduce a new dimension for connecting and operating mobile robots in outdoor environments, leveraging cloud-native and offloading features of 5G networks to enable fully flexible and collaborative cloud robot operations. However, the limited battery life of robots remains a significant obstacle to their effective adoption in real-world exploration scenarios. This paper explores, via field experiments, the potential energy-saving gains of OROS, a joint orchestration of 5G and Robot Operating System (ROS) that coordinates multiple 5G-connected robots both in terms of navigation and sensing, as well as optimizes their cloud-native service resource utilization while minimizing total resource and energy consumption on the robots based on real-time feedback. We designed, implemented and evaluated our proposed OROS in an experimental testbed composed of commercial off-the-shelf robots and a local 5G infrastructure deployed on a campus. The experimental results demonstrated that OROS significantly outperforms state-of-the-art approaches in terms of energy savings by offloading demanding computational tasks to the 5G edge infrastructure and dynamic energy management of on-board sensors (e.g., switching them off when they are not needed). This strategy achieves approximately 15% energy savings on the robots, thereby extending battery life, which in turn allows for longer operating times and better resource utilization.




Abstract:Mobility performance has been a key focus in cellular networks up to 5G. To enhance handover (HO) performance, 3GPP introduced Conditional Handover (CHO) and Layer 1/Layer 2 Triggered Mobility (LTM) mechanisms in 5G. While these reactive HO strategies address the trade-off between HO failures (HOF) and ping-pong effects, they often result in inefficient radio resource utilization due to additional HO preparations. To overcome these challenges, this article proposes a proactive HO framework for mobility management in O-RAN, leveraging user-cell link predictions to identify the optimal target cell for HO. We explore various categories of Graph Neural Networks (GNNs) for link prediction and analyze the complexity of applying them to the mobility management domain. Two GNN models are compared using a real-world dataset, with experimental results demonstrating their ability to capture the dynamic and graph-structured nature of cellular networks. Finally, we present key insights from our study and outline future steps to enable the integration of GNN-based link prediction for mobility management in 6G networks.




Abstract:This paper presents the design, implementation and evaluation of waveSLAM, a low-cost mobile robot system that uses the millimetre wave (mmWave) communication devices to enhance the indoor mapping process targeting environments with reduced visibility or glass/mirror walls. A unique feature of waveSLAM is that it only leverages existing Commercial-Off-The-Shelf (COTS) hardware (Lidar and mmWave radios) that are mounted on mobile robots to improve the accurate indoor mapping achieved with optical sensors. The key intuition behind the waveSLAM design is that while the mobile robots moves freely, the mmWave radios can periodically exchange angle and distance estimates between themselves (self-sensing) by bouncing the signal from the environment, thus enabling accurate estimates of the target object/material surface. Our experiments verify that waveSLAM can archive cm-level accuracy with errors below 22 cm and 20deg in angle orientation which is compatible with Lidar when building indoor maps.




Abstract:In this letter, we formulate the orchestration problem for networked robotic applications considering contextual information. Any solution to the proposed formulation provides adequate routing updates, migration, and radio handover decisions as the robot moves. We prove the NP-hard nature of the problem, and solve it for a remote driving robotic application with or without some contextual information, as in state-of-the-art. Results show that without contextual information it is impossible to meet the latency requirements of a remote-driving robotic application.




Abstract:Wireless communications represent a game changer for future manufacturing plants, enabling flexible production chains as machinery and other components are not restricted to a location by the rigid wired connections on the factory floor. However, the presence of electromagnetic interference in the wireless spectrum may result in packet loss and delay, making it a challenging environment to meet the extreme reliability requirements of industrial applications. In such conditions, achieving real-time remote control, either from the Edge or Cloud, becomes complex. In this paper, we investigate a forecast-based recovery mechanism for real-time remote control of robotic manipulators (FoReCo) that uses Machine Learning (ML) to infer lost commands caused by interference in the wireless channel. FoReCo is evaluated through both simulation and experimentation in interference prone IEEE 802.11 wireless links, and using a commercial research robot that performs pick-and-place tasks. Results show that in case of interference, FoReCo trajectory error is decreased by x18 and x2 times in simulation and experimentation, and that FoReCo is sufficiently lightweight to be deployed in the hardware of already used in existing solutions.




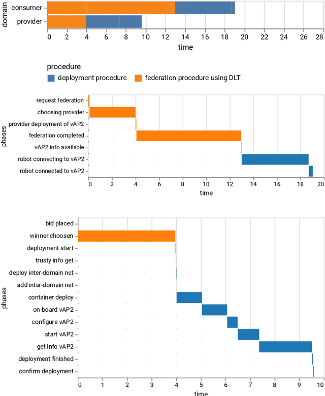
Abstract:Edge & Fog computing have received considerable attention as promising candidates for the evolution of robotic systems. In this letter, we propose COTORRA, an Edge & Fog driven robotic testbed that combines context information with robot sensor data to validate innovative concepts for robotic systems prior to being applied in a production environment. In lab/university, we established COTORRA as an easy applicable and modular testbed on top of heterogeneous network infrastructure. COTORRA is open for pluggable robotic applications. To verify its feasibility and assess its performance, we ran set of experiments that show how autonomous navigation applications can achieve target latencies bellow 15ms or perform an inter-domain (DLT) federation within 19 seconds.




Abstract:The concept of federation in 5G and NFV networks aims to provide orchestration of services across multiple administrative domains. Edge robotics, as a field of robotics, implements the robot control on the network edge by relying on low-latency and reliable access connectivity. In this paper, we propose a solution that enables Edge robotics service to expand its service footprint or access coverage over multiple administrative domains. We propose application of Distributed ledger technologies (DLTs) for the federation procedures to enable private, secure and trusty interactions between undisclosed administrative domains. The solution is applied on a real-case Edge robotics experimental scenario. The results show that it takes around 19 seconds to deploy & federate a Edge robotics service in an external/anonymous domain without any service down-time.