



Abstract:We propose the Generalized Probabilistic U-Net, which extends the Probabilistic U-Net by allowing more general forms of the Gaussian distribution as the latent space distribution that can better approximate the uncertainty in the reference segmentations. We study the effect the choice of latent space distribution has on capturing the variation in the reference segmentations for lung tumors and white matter hyperintensities in the brain. We show that the choice of distribution affects the sample diversity of the predictions and their overlap with respect to the reference segmentations. We have made our implementation available at https://github.com/ishaanb92/GeneralizedProbabilisticUNet





Abstract:Purpose: Coronary artery calcium (CAC) score, i.e. the amount of CAC quantified in CT, is a strong and independent predictor of coronary heart disease (CHD) events. However, CAC scoring suffers from limited interscan reproducibility, which is mainly due to the clinical definition requiring application of a fixed intensity level threshold for segmentation of calcifications. This limitation is especially pronounced in non-ECG-synchronized CT where lesions are more impacted by cardiac motion and partial volume effects. Therefore, we propose a CAC quantification method that does not require a threshold for segmentation of CAC. Approach: Our method utilizes a generative adversarial network where a CT with CAC is decomposed into an image without CAC and an image showing only CAC. The method, using a CycleGAN, was trained using 626 low-dose chest CTs and 514 radiotherapy treatment planning CTs. Interscan reproducibility was compared to clinical calcium scoring in radiotherapy treatment planning CTs of 1,662 patients, each having two scans. Results: A lower relative interscan difference in CAC mass was achieved by the proposed method: 47% compared to 89% manual clinical calcium scoring. The intraclass correlation coefficient of Agatston scores was 0.96 for the proposed method compared to 0.91 for automatic clinical calcium scoring. Conclusions: The increased interscan reproducibility achieved by our method may lead to increased reliability of CHD risk categorization and improved accuracy of CHD event prediction.





Abstract:With an increase in deep learning-based methods, the call for explainability of such methods grows, especially in high-stakes decision making areas such as medical image analysis. This survey presents an overview of eXplainable Artificial Intelligence (XAI) used in deep learning-based medical image analysis. A framework of XAI criteria is introduced to classify deep learning-based medical image analysis methods. Papers on XAI techniques in medical image analysis are then surveyed and categorized according to the framework and according to anatomical location. The paper concludes with an outlook of future opportunities for XAI in medical image analysis.





Abstract:Deep learning-based whole-heart segmentation in coronary CT angiography (CCTA) allows the extraction of quantitative imaging measures for cardiovascular risk prediction. Automatic extraction of these measures in patients undergoing only non-contrast-enhanced CT (NCCT) scanning would be valuable. In this work, we leverage information provided by a dual-layer detector CT scanner to obtain a reference standard in virtual non-contrast (VNC) CT images mimicking NCCT images, and train a 3D convolutional neural network (CNN) for the segmentation of VNC as well as NCCT images. Contrast-enhanced acquisitions on a dual-layer detector CT scanner were reconstructed into a CCTA and a perfectly aligned VNC image. In each CCTA image, manual reference segmentations of the left ventricular (LV) myocardium, LV cavity, right ventricle, left atrium, right atrium, ascending aorta, and pulmonary artery trunk were obtained and propagated to the corresponding VNC image. These VNC images and reference segmentations were used to train 3D CNNs for automatic segmentation in either VNC images or NCCT images. Automatic segmentations in VNC images showed good agreement with reference segmentations, with an average Dice similarity coefficient of 0.897 \pm 0.034 and an average symmetric surface distance of 1.42 \pm 0.45 mm. Volume differences [95% confidence interval] between automatic NCCT and reference CCTA segmentations were -19 [-67; 30] mL for LV myocardium, -25 [-78; 29] mL for LV cavity, -29 [-73; 14] mL for right ventricle, -20 [-62; 21] mL for left atrium, and -19 [-73; 34] mL for right atrium, respectively. In 214 (74%) NCCT images from an independent multi-vendor multi-center set, two observers agreed that the automatic segmentation was mostly accurate or better. This method might enable quantification of additional cardiac measures from NCCT images for improved cardiovascular risk prediction.





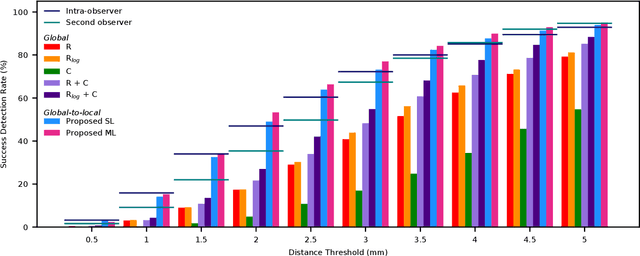
Abstract:In this study, we propose a fast and accurate method to automatically localize anatomical landmarks in medical images. We employ a global-to-local localization approach using fully convolutional neural networks (FCNNs). First, a global FCNN localizes multiple landmarks through the analysis of image patches, performing regression and classification simultaneously. In regression, displacement vectors pointing from the center of image patches towards landmark locations are determined. In classification, presence of landmarks of interest in the patch is established. Global landmark locations are obtained by averaging the predicted displacement vectors, where the contribution of each displacement vector is weighted by the posterior classification probability of the patch that it is pointing from. Subsequently, for each landmark localized with global localization, local analysis is performed. Specialized FCNNs refine the global landmark locations by analyzing local sub-images in a similar manner, i.e. by performing regression and classification simultaneously and combining the results. Evaluation was performed through localization of 8 anatomical landmarks in CCTA scans, 2 landmarks in olfactory MR scans, and 19 landmarks in cephalometric X-rays. We demonstrate that the method performs similarly to a second observer and is able to localize landmarks in a diverse set of medical images, differing in image modality, image dimensionality, and anatomical coverage.





Abstract:Treatment of patients with obstructive coronary artery disease is guided by the functional significance of a coronary artery stenosis. Fractional flow reserve (FFR), measured during invasive coronary angiography (ICA), is considered the gold standard to define the functional significance of a coronary stenosis. Here, we present a method for non-invasive detection of patients with functionally significant coronary artery stenosis, combining analysis of the coronary artery tree and the left ventricular (LV) myocardium in cardiac CT angiography (CCTA) images. We retrospectively collected CCTA scans of 126 patients who underwent invasive FFR measurements, to determine the functional significance of coronary stenoses. We combine our previous works for the analysis of the complete coronary artery tree and the LV myocardium: Coronary arteries are encoded by two disjoint convolutional autoencoders (CAEs) and the LV myocardium is characterized by a convolutional neural network (CNN) and a CAE. Thereafter, using the extracted encodings of all coronary arteries and the LV myocardium, patients are classified according to the presence of functionally significant stenosis, as defined by the invasively measured FFR. To handle the varying number of coronary arteries in a patient, the classification is formulated as a multiple instance learning problem and is performed using an attention-based neural network. Cross-validation experiments resulted in an average area under the receiver operating characteristic curve of $0.74 \pm 0.01$, and showed that the proposed combined analysis outperformed the analysis of the coronary arteries or the LV myocardium only. The results demonstrate the feasibility of combining the analyses of the complete coronary artery tree and the LV myocardium in CCTA images for the detection of patients with functionally significant stenosis in coronary arteries.





Abstract:Diffusion magnetic resonance imaging is a noninvasive imaging technique which can indirectly infer the microstructure of tissues and provide metrics which are subject to normal variability across subjects. Potentially abnormal values or features may yield essential information to support analysis of controls and patients cohorts, but subtle confounds affecting diffusion MRI, such as those due to difference in scanning protocols or hardware, can lead to systematic errors which could be mistaken for purely biologically driven variations amongst subjects. In this work, we propose a new harmonization algorithm based on adaptive dictionary learning to mitigate the unwanted variability caused by different scanner hardware while preserving the natural biological variability present in the data. Overcomplete dictionaries, which are learned automatically from the data and do not require paired samples, are then used to reconstruct the data from a different scanner, removing variability present in the source scanner in the process. We use the publicly available database from an international challenge to evaluate the method, which was acquired on three different scanners and with two different protocols, and propose a new mapping towards a scanner-agnostic space. Results show that the effect size of the four studied diffusion metrics is preserved while removing variability attributable to the scanner. Experiments with alterations using a free water compartment, which is not simulated in the training data, shows that the effect size induced by the alterations is also preserved after harmonization. The algorithm is freely available and could help multicenter studies in pooling their data, while removing scanner specific confounds, and increase statistical power in the process.





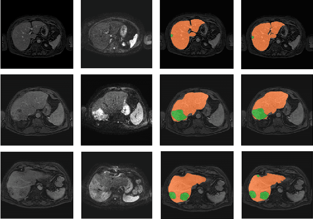
Abstract:Primary tumors have a high likelihood of developing metastases in the liver and early detection of these metastases is crucial for patient outcome. We propose a method based on convolutional neural networks (CNN) to detect liver metastases. First, the liver was automatically segmented using the six phases of abdominal dynamic contrast enhanced (DCE) MR images. Next, DCE-MR and diffusion weighted (DW) MR images are used for metastases detection within the liver mask. The liver segmentations have a median Dice similarity coefficient of 0.95 compared with manual annotations. The metastases detection method has a sensitivity of 99.8% with a median of 2 false positives per image. The combination of the two MR sequences in a dual pathway network is proven valuable for the detection of liver metastases. In conclusion, a high quality liver segmentation can be obtained in which we can successfully detect liver metastases.





Abstract:Purpose: This study demonstrates a proof of concept of a method for simultaneous anatomical imaging and real-time (SMART) passive device tracking for MR-guided interventions. Methods: Phase Correlation template matching was combined with a fast undersampled radial multi-echo acquisition using the white marker phenomenon after the first echo. In this way, the first echo provides anatomical contrast, whereas the other echoes provide white marker contrast to allow accurate device localization using fast simulations and template matching. This approach was tested on tracking of five 0.5 mm steel markers in an agarose phantom and on insertion of an MRI-compatible 20 Gauge titanium needle in ex vivo porcine tissue. The locations of the steel markers were quantitatively compared to the marker locations as found on a CT scan of the same phantom. Results: The average pairwise error between the MRI and CT locations was 0.30 mm for tracking of stationary steel spheres and 0.29 mm during motion. Qualitative evaluation of the tracking of needle insertions showed that tracked positions were stable throughout needle insertion and retraction. Conclusions: The proposed SMART tracking method provided accurate passive tracking of devices at high framerates, inclusion of real-time anatomical scanning, and the capability of automatic slice positioning. Furthermore, the method does not require specialized hardware and could therefore be applied to track any rigid metal device that causes appreciable magnetic field distortions.





Abstract:In patients with obstructive coronary artery disease, the functional significance of a coronary artery stenosis needs to be determined to guide treatment. This is typically established through fractional flow reserve (FFR) measurement, performed during invasive coronary angiography (ICA). We present a method for automatic and non-invasive detection of functionally significant coronary artery stenosis, employing deep unsupervised analysis of complete coronary arteries in cardiac CT angiography (CCTA) images. We retrospectively collected CCTA scans of 187 patients, 137 of them underwent invasive FFR measurement in 192 different coronary arteries. These FFR measurements served as a reference standard for the functional significance of the coronary stenosis. The centerlines of the coronary arteries were extracted and used to reconstruct straightened multi-planar reformatted (MPR) volumes. To automatically identify arteries with functionally significant stenosis, each MPR volume was encoded into a fixed number of encodings using two disjoint 3D and 1D convolutional autoencoders performing spatial and sequential encodings, respectively. Thereafter, these encodings were employed to classify arteries according to the presence of functionally significant stenosis using a support vector machine classifier. The detection of functionally significant stenosis, evaluated using repeated cross-validation experiments, resulted in an area under the receiver operating characteristic curve of $0.81 \pm 0.02$ on the artery-level, and $0.87 \pm 0.02$ on the patient-level. The results demonstrate that automatic non-invasive detection of the functionally significant stenosis in coronary arteries, using characteristics of complete coronary arteries in CCTA images, is feasible. This could potentially reduce the number of patients that unnecessarily undergo ICA.
