

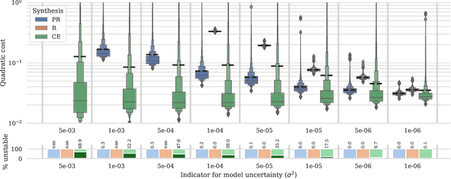
Abstract:Probabilistic models such as Gaussian processes (GPs) are powerful tools to learn unknown dynamical systems from data for subsequent use in control design. While learning-based control has the potential to yield superior performance in demanding applications, robustness to uncertainty remains an important challenge. Since Bayesian methods quantify uncertainty of the learning results, it is natural to incorporate these uncertainties into a robust design. In contrast to most state-of-the-art approaches that consider worst-case estimates, we leverage the learning method's posterior distribution in the controller synthesis. The result is a more informed and, thus, more efficient trade-off between performance and robustness. We present a novel controller synthesis for linearized GP dynamics that yields robust controllers with respect to a probabilistic stability margin. The formulation is based on a recently proposed algorithm for linear quadratic control synthesis, which we extend by giving probabilistic robustness guarantees in the form of credibility bounds for the system's stability.Comparisons to existing methods based on worst-case and certainty-equivalence designs reveal superior performance and robustness properties of the proposed method.




Abstract:Bayesian optimization is proposed for automatic learning of optimal controller parameters from experimental data. A probabilistic description (a Gaussian process) is used to model the unknown function from controller parameters to a user-defined cost. The probabilistic model is updated with data, which is obtained by testing a set of parameters on the physical system and evaluating the cost. In order to learn fast, the Bayesian optimization algorithm selects the next parameters to evaluate in a systematic way, for example, by maximizing information gain about the optimum. The algorithm thus iteratively finds the globally optimal parameters with only few experiments. Taking throttle valve control as a representative industrial control example, the proposed auto-tuning method is shown to outperform manual calibration: it consistently achieves better performance with a low number of experiments. The proposed auto-tuning framework is flexible and can handle different control structures and objectives.