Abstract:Multimodal deep learning foundation models can learn the relationship between images and text. In the context of medical imaging, mapping images to language concepts reflects the clinical task of diagnostic image interpretation, however current general-purpose foundation models do not perform well in this context because their training corpus have limited medical text and images. To address this challenge and account for the range of cardiac physiology, we leverage 1,032,975 cardiac ultrasound videos and corresponding expert interpretations to develop EchoCLIP, a multimodal foundation model for echocardiography. EchoCLIP displays strong zero-shot (not explicitly trained) performance in cardiac function assessment (external validation left ventricular ejection fraction mean absolute error (MAE) of 7.1%) and identification of implanted intracardiac devices (areas under the curve (AUC) between 0.84 and 0.98 for pacemakers and artificial heart valves). We also developed a long-context variant (EchoCLIP-R) with a custom echocardiography report text tokenizer which can accurately identify unique patients across multiple videos (AUC of 0.86), identify clinical changes such as orthotopic heart transplants (AUC of 0.79) or cardiac surgery (AUC 0.77), and enable robust image-to-text search (mean cross-modal retrieval rank in the top 1% of candidate text reports). These emergent capabilities can be used for preliminary assessment and summarization of echocardiographic findings.





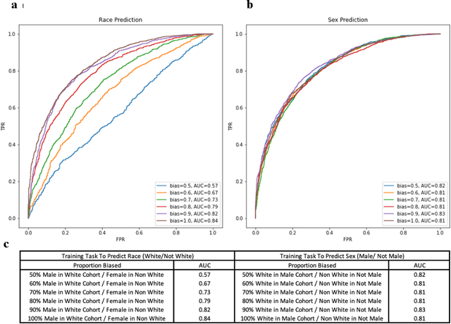
Abstract:Deep learning has been shown to accurately assess 'hidden' phenotypes and predict biomarkers from medical imaging beyond traditional clinician interpretation of medical imaging. Given the black box nature of artificial intelligence (AI) models, caution should be exercised in applying models to healthcare as prediction tasks might be short-cut by differences in demographics across disease and patient populations. Using large echocardiography datasets from two healthcare systems, we test whether it is possible to predict age, race, and sex from cardiac ultrasound images using deep learning algorithms and assess the impact of varying confounding variables. We trained video-based convolutional neural networks to predict age, sex, and race. We found that deep learning models were able to identify age and sex, while unable to reliably predict race. Without considering confounding differences between categories, the AI model predicted sex with an AUC of 0.85 (95% CI 0.84 - 0.86), age with a mean absolute error of 9.12 years (95% CI 9.00 - 9.25), and race with AUCs ranging from 0.63 - 0.71. When predicting race, we show that tuning the proportion of a confounding variable (sex) in the training data significantly impacts model AUC (ranging from 0.57 to 0.84), while in training a sex prediction model, tuning a confounder (race) did not substantially change AUC (0.81 - 0.83). This suggests a significant proportion of the model's performance on predicting race could come from confounding features being detected by AI. Further work remains to identify the particular imaging features that associate with demographic information and to better understand the risks of demographic identification in medical AI as it pertains to potentially perpetuating bias and disparities.




Abstract:One of the most pressing questions in climate science is that of the effect of anthropogenic aerosol on the Earth's energy balance. Aerosols provide the `seeds' on which cloud droplets form, and changes in the amount of aerosol available to a cloud can change its brightness and other physical properties such as optical thickness and spatial extent. Clouds play a critical role in moderating global temperatures and small perturbations can lead to significant amounts of cooling or warming. Uncertainty in this effect is so large it is not currently known if it is negligible, or provides a large enough cooling to largely negate present-day warming by CO2. This work uses deep convolutional neural networks to look for two particular perturbations in clouds due to anthropogenic aerosol and assess their properties and prevalence, providing valuable insights into their climatic effects.
