



Abstract:Survival analysis encompasses a broad range of methods for analyzing time-to-event data, with one key objective being the comparison of survival curves across groups. Traditional approaches for identifying clusters of survival curves often rely on computationally intensive bootstrap techniques to approximate the null hypothesis distribution. While effective, these methods impose significant computational burdens. In this work, we propose a novel approach that leverages the k-means and log-rank test to efficiently identify and cluster survival curves. Our method eliminates the need for computationally expensive resampling, significantly reducing processing time while maintaining statistical reliability. By systematically evaluating survival curves and determining optimal clusters, the proposed method ensures a practical and scalable alternative for large-scale survival data analysis. Through simulation studies, we demonstrate that our approach achieves results comparable to existing bootstrap-based clustering methods while dramatically improving computational efficiency. These findings suggest that the log-rank-based clustering procedure offers a viable and time-efficient solution for researchers working with multiple survival curves in medical and epidemiological studies.




Abstract:User and Entity Behaviour Analytics (UEBA) is a broad branch of data analytics that attempts to build a normal behavioural profile in order to detect anomalous events. Among the techniques used to detect anomalies, Deep Autoencoders constitute one of the most promising deep learning models on UEBA tasks, allowing explainable detection of security incidents that could lead to the leak of personal data, hijacking of systems, or access to sensitive business information. In this study, we introduce the first implementation of an explainable UEBA-based anomaly detection framework that leverages Deep Autoencoders in combination with Doc2Vec to process both numerical and textual features. Additionally, based on the theoretical foundations of neural networks, we offer a novel proof demonstrating the equivalence of two widely used definitions for fully-connected neural networks. The experimental results demonstrate the proposed framework capability to detect real and synthetic anomalies effectively generated from real attack data, showing that the models provide not only correct identification of anomalies but also explainable results that enable the reconstruction of the possible origin of the anomaly. Our findings suggest that the proposed UEBA framework can be seamlessly integrated into enterprise environments, complementing existing security systems for explainable threat detection.
Abstract:Nowadays, Neural Networks are considered one of the most effective methods for various tasks such as anomaly detection, computer-aided disease detection, or natural language processing. However, these networks suffer from the ``black-box'' problem which makes it difficult to understand how they make decisions. In order to solve this issue, an R package called neuralGAM is introduced. This package implements a Neural Network topology based on Generalized Additive Models, allowing to fit an independent Neural Network to estimate the contribution of each feature to the output variable, yielding a highly accurate and interpretable Deep Learning model. The neuralGAM package provides a flexible framework for training Generalized Additive Neural Networks, which does not impose any restrictions on the Neural Network architecture. We illustrate the use of the neuralGAM package in both synthetic and real data examples.




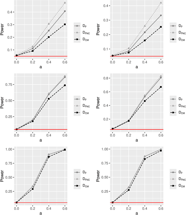
Abstract:In many situations it could be interesting to ascertain whether nonparametric regression curves can be grouped, especially when confronted with a considerable number of curves. The proposed testing procedure allows to determine groups with an automatic selection of their number. A simulation study is presented in order to investigate the finite sample properties of the proposed methods when compared to existing alternative procedures. Finally, the applicability of the procedure to study the geometry of a tunnel by analysing a set of cross-sections is demonstrated. The results obtained show the existence of some heterogeneity in the tunnel geometry.