Abstract:Current electroencephalogram (EEG) decoding models are typically trained on small numbers of subjects performing a single task. Here, we introduce a large-scale, code-submission-based competition comprising two challenges. First, the Transfer Challenge asks participants to build and test a model that can zero-shot decode new tasks and new subjects from their EEG data. Second, the Psychopathology factor prediction Challenge asks participants to infer subject measures of mental health from EEG data. For this, we use an unprecedented, multi-terabyte dataset of high-density EEG signals (128 channels) recorded from over 3,000 child to young adult subjects engaged in multiple active and passive tasks. We provide several tunable neural network baselines for each of these two challenges, including a simple network and demographic-based regression models. Developing models that generalise across tasks and individuals will pave the way for ML network architectures capable of adapting to EEG data collected from diverse tasks and individuals. Similarly, predicting mental health-relevant personality trait values from EEG might identify objective biomarkers useful for clinical diagnosis and design of personalised treatment for psychological conditions. Ultimately, the advances spurred by this challenge could contribute to the development of computational psychiatry and useful neurotechnology, and contribute to breakthroughs in both fundamental neuroscience and applied clinical research.





Abstract:The integration of Deep Learning (DL) algorithms on brain signal analysis is still in its nascent stages compared to their success in fields like Computer Vision, especially in Brain-Computer Interface (BCI), where the brain activity is decoded to control external devices without requiring muscle control. Electroencephalography (EEG) is a widely adopted choice for designing BCI systems due to its non-invasive and cost-effective nature and excellent temporal resolution. Still, it comes at the expense of limited training data, poor signal-to-noise, and a large variability across and within-subject recordings. Finally, setting up a BCI system with many electrodes takes a long time, hindering the widespread adoption of reliable DL architectures in BCIs outside research laboratories. To improve adoption, we need to improve user comfort using, for instance, reliable algorithms that operate with few electrodes. \textbf{Approach:} Our research aims to develop a DL algorithm that delivers effective results with a limited number of electrodes. Taking advantage of the Augmented Covariance Method with SPDNet, we propose the SPDNet$_{\psi}$ architecture and analyze its performance and computational impact, as well as the interpretability of the results. The evaluation is conducted on 5-fold cross-validation, using only three electrodes positioned above the Motor Cortex. The methodology was tested on nearly 100 subjects from several open-source datasets using the Mother Of All BCI Benchmark (MOABB) framework. \textbf{Main results:} The results of our SPDNet$_{\psi}$ demonstrate that the augmented approach combined with the SPDNet significantly outperforms all the current state-of-the-art DL architecture in MI decoding. \textbf{Significance:} This new architecture is explainable, with a low number of trainable parameters and a reduced carbon footprint.

Abstract:Brain-Computer Interface (BCI) systems allow users to perform actions by translating their brain activity into commands. Such systems usually need a training phase, consisting in training a classification algorithm to discriminate between mental states using specific features from the recorded signals. This phase of feature selection and training is crucial for BCI performance and presents specific constraints to be met in a clinical context, such as post-stroke rehabilitation. In this paper, we present HappyFeat, a software making Motor Imagery (MI) based BCI experiments easier, by gathering all necessary manipulations and analysis in a single convenient GUI and via automation of experiment or analysis parameters. The resulting workflow allows for effortlessly selecting the best features, helping to achieve good BCI performance in time-constrained environments. Alternative features based on Functional Connectivity can be used and compared or combined with Power Spectral Density, allowing a network-oriented approach. We then give details of HappyFeat's main mechanisms, and a review of its performances in typical use cases. We also show that it can be used as an efficient tool for comparing different metrics extracted from the signals, to train the classification algorithm. To this end, we show a comparison between the commonly-used Power Spectral Density and network metrics based on Functional Connectivity. HappyFeat is available as an open-source project which can be freely downloaded on GitHub.





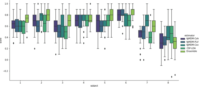
Abstract:Functional connectivity is a key approach to investigate oscillatory activities of the brain that provides important insights on the underlying dynamic of neuronal interactions and that is mostly applied for brain activity analysis. Building on the advances in information geometry for brain-computer interface, we propose a novel framework that combines functional connectivity estimators and covariance-based pipelines to classify mental states, such as motor imagery. A Riemannian classifier is trained for each estimator and an ensemble classifier combines the decisions in each feature space. A thorough assessment of the functional connectivity estimators is provided and the best performing pipeline, called FUCONE, is evaluated on different conditions and datasets. Using a meta-analysis to aggregate results across datasets, FUCONE performed significantly better than all state-of-the-art methods. The performance gain is mostly imputable to the improved diversity of the feature spaces, increasing the robustness of the ensemble classifier with respect to the inter- and intra-subject variability.





Abstract:This short technical report describes the approach submitted to the Clinical BCI Challenge-WCCI2020. This submission aims to classify motor imagery task from EEG signals and relies on Riemannian Geometry, with a twist. Instead of using the classical covariance matrices, we also rely on measures of functional connectivity. Our approach ranked 1st on the task 1 of the competition.





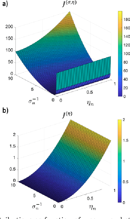
Abstract:Functional connectivity (FC) can be represented as a network, and is frequently used to better understand the neural underpinnings of complex tasks such as motor imagery (MI) detection in brain-computer interfaces (BCIs). However, errors in the estimation of connectivity can affect the detection performances. In this work, we address the problem of denoising common connectivity estimates to improve the detectability of different connectivity states. Specifically, we propose a denoising algorithm that acts on the network graph Laplacian, which leverages recent graph signal processing results. Further, we derive a novel formulation of the Jensen divergence for the denoised Laplacian under different states. Numerical simulations on synthetic data show that the denoising method improves the Jensen divergence of connectivity patterns corresponding to different task conditions. Furthermore, we apply the Laplacian denoising technique to brain networks estimated from real EEG data recorded during MI-BCI experiments. Using our novel formulation of the J-divergence, we are able to quantify the distance between the FC networks in the motor imagery and resting states, as well as to understand the contribution of each Laplacian variable to the total J-divergence between two states. Experimental results on real MI-BCI EEG data demonstrate that the Laplacian denoising improves the separation of motor imagery and resting mental states, and shortens the time interval required for connectivity estimation. We conclude that the approach shows promise for the robust detection of connectivity states while being appealing for implementation in real-time BCI applications.
