

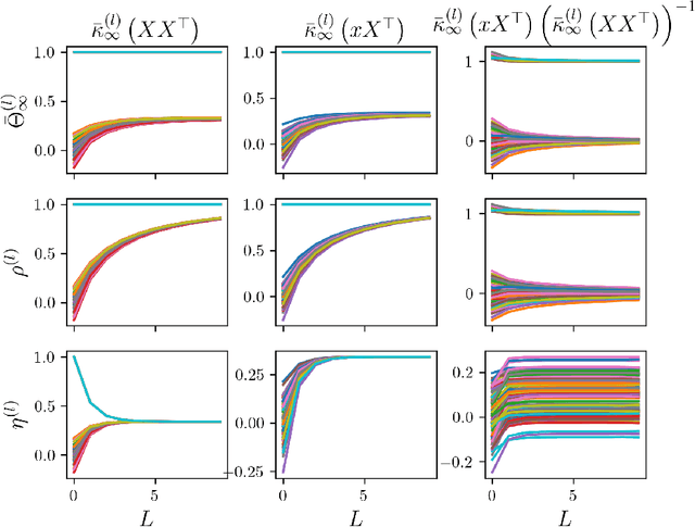
Abstract:Overparameterized fully-connected neural networks have been shown to behave like kernel models when trained with gradient descent, under mild conditions on the width, the learning rate, and the parameter initialization. In the limit of infinitely large widths and small learning rate, the kernel that is obtained allows to represent the output of the learned model with a closed-form solution. This closed-form solution hinges on the invertibility of the limiting kernel, a property that often holds on real-world datasets. In this work, we analyze the sensitivity of large ReLU networks to increasing depths by characterizing the corresponding limiting kernel. Our theoretical results demonstrate that the normalized limiting kernel approaches the matrix of ones. In contrast, they show the corresponding closed-form solution approaches a fixed limit on the sphere. We empirically evaluate the order of magnitude in network depth required to observe this convergent behavior, and we describe the essential properties that enable the generalization of our results to other kernels.
Abstract:Recent advances in reasoning with large language models (LLMs) have demonstrated strong performance on complex mathematical tasks, including combinatorial optimization. Techniques such as Chain-of-Thought and In-Context Learning have further enhanced this capability, making LLMs both powerful and accessible tools for a wide range of users, including non-experts. However, applying LLMs to matching problems, which require reasoning under preferential and structural constraints, remains underexplored. To address this gap, we introduce a novel benchmark of 369 instances of the College Admission Problem, a canonical example of a matching problem with preferences, to evaluate LLMs across key dimensions: feasibility, stability, and optimality. We employ this benchmark to assess the performance of several open-weight LLMs. Our results first reveal that while LLMs can satisfy certain constraints, they struggle to meet all evaluation criteria consistently. They also show that reasoning LLMs, like QwQ and GPT-oss, significantly outperform traditional models such as Llama, Qwen or Mistral, defined here as models used without any dedicated reasoning mechanisms. Moreover, we observed that LLMs reacted differently to the various prompting strategies tested, which include Chain-of-Thought, In-Context Learning and role-based prompting, with no prompt consistently offering the best performance. Finally, we report the performances from iterative prompting with auto-generated feedback and show that they are not monotonic; they can peak early and then significantly decline in later attempts. Overall, this work offers a new perspective on model reasoning performance and the effectiveness of prompting strategies in combinatorial optimization problems with preferential constraints.
Abstract:With the increasing effects of climate change, the urgency to step away from fossil fuels is greater than ever before. Electric vehicles (EVs) are one way to diminish these effects, but their widespread adoption is often limited by the insufficient availability of charging stations. In this work, our goal is to expand the infrastructure of EV charging stations, in order to provide a better quality of service in terms of user satisfaction (and availability of charging stations). Specifically, our focus is directed towards urban areas. We first propose a model for the assignment of EV charging demand to stations, framing it as a maximum flow problem. This model is the basis for the evaluation of user satisfaction with a given charging infrastructure. Secondly, we incorporate the maximum flow model into a mixed-integer linear program, where decisions on the opening of new stations and on the expansion of their capacity through additional outlets is accounted for. We showcase our methodology for the city of Montreal, demonstrating the scalability of our approach to handle real-world scenarios. We conclude that considering both spacial and temporal variations in charging demand is meaningful when solving realistic instances.
Abstract:A kidney exchange program, also called a kidney paired donation program, can be viewed as a repeated, dynamic trading and allocation mechanism. This suggests that a dynamic algorithm for transplant exchange selection may have superior performance in comparison to the repeated use of a static algorithm. We confirm this hypothesis using a full scale simulation of the Canadian Kidney Paired Donation Program: learning algorithms, that attempt to learn optimal patient-donor weights in advance via dynamic simulations, do lead to improved outcomes. Specifically, our learning algorithms, designed with the objective of fairness (that is, equity in terms of transplant accessibility across cPRA groups), also lead to an increased number of transplants and shorter average waiting times. Indeed, our highest performing learning algorithm improves egalitarian fairness by 10% whilst also increasing the number of transplants by 6% and decreasing waiting times by 24%. However, our main result is much more surprising. We find that the most critical factor in determining the performance of a kidney exchange program is not the judicious assignment of positive weights (rewards) to patient-donor pairs. Rather, the key factor in increasing the number of transplants, decreasing waiting times and improving group fairness is the judicious assignment of a negative weight (penalty) to the small number of non-directed donors in the kidney exchange program.




Abstract:The recent promotion of sustainable urban planning combined with a growing need for public interventions to improve well-being and health have led to an increased collective interest for green spaces in and around cities. In particular, parks have proven a wide range of benefits in urban areas. This also means inequities in park accessibility may contribute to health inequities. In this work, we showcase the application of classic tools from Operations Research to assist decision-makers to improve parks' accessibility, distribution and design. Given the context of public decision-making, we are particularly concerned with equity and environmental justice, and are focused on an advanced assessment of users' behavior through a spatial interaction model. We present a two-stage fair facility location and design model, which serves as a template model to assist public decision-makers at the city-level for the planning of urban green spaces. The first-stage of the optimization model is about the optimal city-budget allocation to neighborhoods based on a data exposing inequality attributes. The second-stage seeks the optimal location and design of parks for each neighborhood, and the objective consists of maximizing the total expected probability of individuals visiting parks. We show how to reformulate the latter as a mixed-integer linear program. We further introduce a clustering method to reduce the size of the problem and determine a close to optimal solution within reasonable time. The model is tested using the case study of the city of Montreal and comparative results are discussed in detail to justify the performance of the model.




Abstract:Learning heuristics for combinatorial optimization problems through graph neural networks have recently shown promising results on some classic NP-hard problems. These are single-level optimization problems with only one player. Multilevel combinatorial optimization problems are their generalization, encompassing situations with multiple players taking decisions sequentially. By framing them in a multi-agent reinforcement learning setting, we devise a value-based method to learn to solve multilevel budgeted combinatorial problems involving two players in a zero-sum game over a graph. Our framework is based on a simple curriculum: if an agent knows how to estimate the value of instances with budgets up to $B$, then solving instances with budget $B+1$ can be done in polynomial time regardless of the direction of the optimization by checking the value of every possible afterstate. Thus, in a bottom-up approach, we generate datasets of heuristically solved instances with increasingly larger budgets to train our agent. We report results close to optimality on graphs up to $100$ nodes and a $185 \times$ speedup on average compared to the quickest exact solver known for the Multilevel Critical Node problem, a max-min-max trilevel problem that has been shown to be at least $\Sigma_2^p$-hard.




Abstract:Physiological signals, such as the electrocardiogram and the phonocardiogram are very often corrupted by noisy sources. Usually, artificial intelligent algorithms analyze the signal regardless of its quality. On the other hand, physicians use a completely orthogonal strategy. They do not assess the entire recording, instead they search for a segment where the fundamental and abnormal waves are easily detected, and only then a prognostic is attempted. Inspired by this fact, a new algorithm that automatically selects an optimal segment for a post-processing stage, according to a criteria defined by the user is proposed. In the process, a Neural Network is used to compute the output state probability distribution for each sample. Using the aforementioned quantities, a graph is designed, whereas state transition constraints are physically imposed into the graph and a set of constraints are used to retrieve a subset of the recording that maximizes the likelihood function, proposed by the user. The developed framework is tested and validated in two applications. In both cases, the system performance is boosted significantly, e.g in heart sound segmentation, sensitivity increases 2.4% when compared to the standard approaches in the literature.




Abstract:We introduce a novel approach to optimize the architecture of deep neural networks by identifying critical neurons and removing non-critical ones. The proposed approach utilizes a mixed integer programming (MIP) formulation of neural models which includes a continuous importance score computed for each neuron in the network. The optimization in MIP solver minimizes the number of critical neurons (i.e., with high importance score) that need to be kept for maintaining the overall accuracy of the model. Further, the proposed formulation generalizes the recently considered lottery ticket optimization by identifying multiple "lucky" sub-networks resulting in optimized architecture that not only perform well on a single dataset, but also generalize across multiple ones upon retraining of network weights. Finally, the proposed framework provides significant improvement in scalability of automatic sparsification of deep network architectures compared to previous attempts. We validate the performance and generalizability of our approach on MNIST, Fashion-MNIST, and CIFAR-10 datasets, using three different neural networks: LeNet 5 and two ReLU fully connected models.