



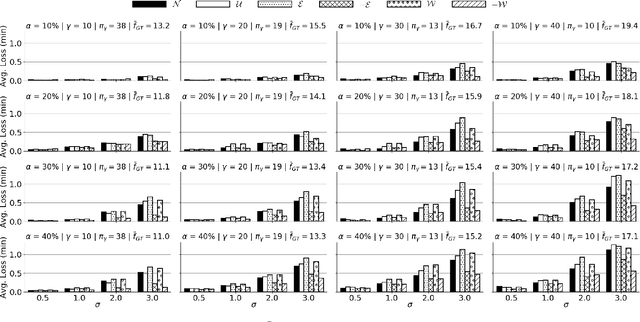
Abstract:As Public Transport (PT) becomes more dynamic and demand-responsive, it increasingly depends on predictions of transport demand. But how accurate need such predictions be for effective PT operation? We address this question through an experimental case study of PT trips in Metropolitan Copenhagen, Denmark, which we conduct independently of any specific prediction models. First, we simulate errors in demand prediction through unbiased noise distributions that vary considerably in shape. Using the noisy predictions, we then simulate and optimize demand-responsive PT fleets via a commonly used linear programming formulation and measure their performance. Our results suggest that the optimized performance is mainly affected by the skew of the noise distribution and the presence of infrequently large prediction errors. In particular, the optimized performance can improve under non-Gaussian vs. Gaussian noise. We also obtain that dynamic routing can reduce trip time by at least 23% vs. static routing. This reduction is estimated at 809,000 EUR per year in terms of Value of Travel Time Savings for the case study.




Abstract:This study develops an online predictive optimization framework for operating a fleet of autonomous vehicles to enhance mobility in an area, where there exists a latent spatio-temporal distribution of demand for commuting between locations. The proposed framework integrates demand prediction and supply optimization in the network design problem. For demand prediction, our framework estimates a marginal demand distribution for each Origin-Destination pair of locations through Quantile Regression, using counts of crowd movements as a proxy for demand. The framework then combines these marginals into a joint demand distribution by constructing a Gaussian copula, which captures the structure of correlation between different Origin-Destination pairs. For supply optimization, we devise a demand-responsive service, based on linear programming, in which route structure and frequency vary according to the predicted demand. We evaluate our framework using a dataset of movement counts, aggregated from WiFi records of a university campus in Denmark, and the results show that our framework outperforms conventional methods for route optimization, which do not utilize the full predictive distribution.