Abstract:Binary stellar evolution simulations are computationally expensive. Stellar population synthesis relies on these detailed evolution models at a fundamental level. Producing thousands of such models requires hundreds of CPU hours, but stellar track interpolation provides one approach to significantly reduce this computational cost. Although single-star track interpolation is straightforward, stellar interactions in binary systems introduce significant complexity to binary evolution, making traditional single-track interpolation methods inapplicable. Binary tracks present fundamentally different challenges compared to single stars, which possess relatively straightforward evolutionary phases identifiable through distinct physical properties. Binary systems are complicated by mutual interactions that can dramatically alter evolutionary trajectories and introduce discontinuities difficult to capture through standard interpolation. In this work, we introduce a novel approach for track alignment and iterative track averaging based on Dynamic Time Warping to address misalignments between neighboring tracks. Our method computes a single shared warping path across all physical parameters simultaneously, placing them on a consistent temporal grid that preserves the causal relationships between parameters. We demonstrate that this joint-alignment strategy maintains key physical relationships such as the Stefan-Boltzmann law in the interpolated tracks. Our comprehensive evaluation across multiple binary configurations demonstrates that proper temporal alignment is crucial for track interpolation methods. The proposed method consistently outperforms existing approaches and enables the efficient generation of more accurate binary population samples for astrophysical studies.




Abstract:Knowledge about the internal physical structure of stars is crucial to understanding their evolution. The novel binary population synthesis code POSYDON includes a module for interpolating the stellar and binary properties of any system at the end of binary MESA evolution based on a pre-computed set of models. In this work, we present a new emulation method for predicting stellar profiles, i.e., the internal stellar structure along the radial axis, using machine learning techniques. We use principal component analysis for dimensionality reduction and fully-connected feed-forward neural networks for making predictions. We find accuracy to be comparable to that of nearest neighbor approximation, with a strong advantage in terms of memory and storage efficiency. By delivering more information about the evolution of stellar internal structure, these emulators will enable faster simulations of higher physical fidelity with large-scale simulations of binary star population synthesis possible with POSYDON and other population synthesis codes.




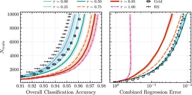
Abstract:Binary stars undergo a variety of interactions and evolutionary phases, critical for predicting and explaining observed properties. Binary population synthesis with full stellar-structure and evolution simulations are computationally expensive requiring a large number of mass-transfer sequences. The recently developed binary population synthesis code POSYDON incorporates grids of MESA binary star simulations which are then interpolated to model large-scale populations of massive binaries. The traditional method of computing a high-density rectilinear grid of simulations is not scalable for higher-dimension grids, accounting for a range of metallicities, rotation, and eccentricity. We present a new active learning algorithm, psy-cris, which uses machine learning in the data-gathering process to adaptively and iteratively select targeted simulations to run, resulting in a custom, high-performance training set. We test psy-cris on a toy problem and find the resulting training sets require fewer simulations for accurate classification and regression than either regular or randomly sampled grids. We further apply psy-cris to the target problem of building a dynamic grid of MESA simulations, and we demonstrate that, even without fine tuning, a simulation set of only $\sim 1/4$ the size of a rectilinear grid is sufficient to achieve the same classification accuracy. We anticipate further gains when algorithmic parameters are optimized for the targeted application. We find that optimizing for classification only may lead to performance losses in regression, and vice versa. Lowering the computational cost of producing grids will enable future versions of POSYDON to cover more input parameters while preserving interpolation accuracies.