Abstract:We consider the classic Multi-Armed Bandit setting to understand the exploration/exploitation tradeoffs made by different search heuristics. Since many search heuristics work by comparing different options (in evolutionary algorithms called "individuals"; in the Bandit literature called "arms"), we work with the "Dueling Bandits" setting. In each iteration, a comparison between different arms can be made; in the binary stochastic setting, each arm has a fixed winning probability against any other arm. A Condorcet winner is any arm that beats every other arm with a probability strictly higher than $1/2$. We show that evolutionary algorithms are rather bad at identifying the Condorcet winner: Even if the Condorcet winner beats every other arm with a probability $1-p$, the (1+1) EA, in its stationary distribution, chooses the Condorcet winner only with constant probability if $p=Ω(1/n)$. By contrast, we show that a simple EDA (based on the Max-Min Ant System with iteration-best update) will choose the Condorcet winner in its maintained distribution with probability $1-Θ(p)$. As a remedy for the (1+1) EA, we show how repeated duels can significantly boost the probability of the Condorcet winner in the stationary distribution.




Abstract:Hyperparameter optimization (HPO) is concerned with the automated search for the most appropriate hyperparameter configuration (HPC) of a parameterized machine learning algorithm. A state-of-the-art HPO method is Hyperband, which, however, has its own parameters that influence its performance. One of these parameters, the maximal budget, is especially problematic: If chosen too small, the budget needs to be increased in hindsight and, as Hyperband is not incremental by design, the entire algorithm must be re-run. This is not only costly but also comes with a loss of valuable knowledge already accumulated. In this paper, we propose incremental variants of Hyperband that eliminate these drawbacks, and show that these variants satisfy theoretical guarantees qualitatively similar to those for the original Hyperband with the "right" budget. Moreover, we demonstrate their practical utility in experiments with benchmark data sets.




Abstract:We study the algorithm configuration (AC) problem, in which one seeks to find an optimal parameter configuration of a given target algorithm in an automated way. Recently, there has been significant progress in designing AC approaches that satisfy strong theoretical guarantees. However, a significant gap still remains between the practical performance of these approaches and state-of-the-art heuristic methods. To this end, we introduce AC-Band, a general approach for the AC problem based on multi-armed bandits that provides theoretical guarantees while exhibiting strong practical performance. We show that AC-Band requires significantly less computation time than other AC approaches providing theoretical guarantees while still yielding high-quality configurations.




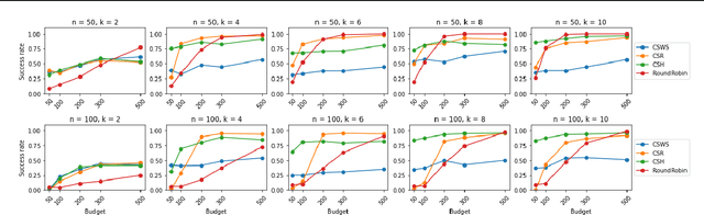
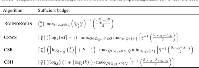
Abstract:We consider the combinatorial bandits problem with semi-bandit feedback under finite sampling budget constraints, in which the learner can carry out its action only for a limited number of times specified by an overall budget. The action is to choose a set of arms, whereupon feedback for each arm in the chosen set is received. Unlike existing works, we study this problem in a non-stochastic setting with subset-dependent feedback, i.e., the semi-bandit feedback received could be generated by an oblivious adversary and also might depend on the chosen set of arms. In addition, we consider a general feedback scenario covering both the numerical-based as well as preference-based case and introduce a sound theoretical framework for this setting guaranteeing sensible notions of optimal arms, which a learner seeks to find. We suggest a generic algorithm suitable to cover the full spectrum of conceivable arm elimination strategies from aggressive to conservative. Theoretical questions about the sufficient and necessary budget of the algorithm to find the best arm are answered and complemented by deriving lower bounds for any learning algorithm for this problem scenario.




Abstract:Algorithm configuration (AC) is concerned with the automated search of the most suitable parameter configuration of a parametrized algorithm. There is currently a wide variety of AC problem variants and methods proposed in the literature. Existing reviews do not take into account all derivatives of the AC problem, nor do they offer a complete classification scheme. To this end, we introduce taxonomies to describe the AC problem and features of configuration methods, respectively. We review existing AC literature within the lens of our taxonomies, outline relevant design choices of configuration approaches, contrast methods and problem variants against each other, and describe the state of AC in industry. Finally, our review provides researchers and practitioners with a look at future research directions in the field of AC.