



Abstract:This paper investigates reconfigurable intelligent surface (RIS)-assisted full-duplex multiple-input single-output wireless system, where the beamforming and RIS phase shifts are optimized to maximize the sum-rate for both single and distributed RIS deployment schemes. The preference of using the single or distributed RIS deployment scheme is investigated through three practical scenarios based on the links' quality. The closed-form solution is derived to optimize the beamforming vectors and a novel deep reinforcement learning (DRL) algorithm is proposed to optimize the RIS phase shifts. Simulation results illustrate that the choice of the deployment scheme depends on the scenario and the links' quality. It is further shown that the proposed algorithm significantly improves the sum-rate compared to the non-optimized scenario in both single and distributed RIS deployment schemes. Besides, the proposed beamforming derivation achieves a remarkable improvement compared to the approximated derivation in previous works. Finally, the complexity analysis confirms that the proposed DRL algorithm reduces the computation complexity compared to the DRL algorithm in the literature.




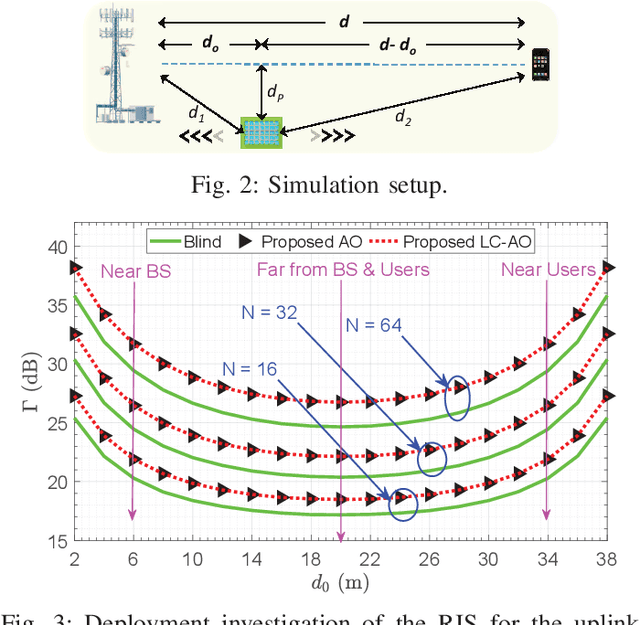
Abstract:The reconfigurable intelligent surface (RIS)-assisted sparse code multiple access (RIS-SCMA) is an attractive scheme for future wireless networks. In this letter, for the first time, the RIS phase shifts of the uplink RIS-SCMA system are optimized based on the alternate optimization (AO) technique to improve the received signal-to-noise ratio (SNR) for a discrete set of RIS phase shifts. The system model of the uplink RIS-SCMA is formulated to utilize the AO algorithm. For further reduction in the computational complexity, a low-complexity AO (LC-AO) algorithm is proposed. The complexity analysis of the two proposed algorithms is performed. Monte Carlo simulations and complexity analysis show that the proposed algorithms significantly improve the received SNR compared to the non-optimized RIS-SCMA scenario. The LC-AO provides the same received SNR as the AO algorithm, with a significant reduction in complexity. Moreover, the deployment of RISs for the uplink RIS-SCMA is investigated.




Abstract:This letter investigates the reconfigurable intelligent surface (RIS)-assisted multiple-input single-output (MISO) wireless system, where both half-duplex (HD) and full-duplex (FD) operating modes are considered together, for the first time in the literature. The goal is to maximize the rate by optimizing the RIS phase shifts. A novel deep reinforcement learning (DRL) algorithm is proposed to solve the formulated non-convex optimization problem. The complexity analysis and Monte Carlo simulations illustrate that the proposed DRL algorithm significantly improves the rate compared to the non-optimized scenario in both HD and FD operating modes using a single parameter setting. Besides, it significantly reduces the computational complexity of the downlink HD MISO system and improves the achievable rate with a reduced number of steps per episode compared to the conventional DRL algorithm.