Abstract:Multi-modal recommendation has gained traction as items possess rich attributes like text and images. Semantic ID-based approaches effectively discretize this information into compact tokens. However, two challenges persist: (1) Suboptimal Tokenization: existing methods (e.g., RQ-VAE) lack disentanglement between shared cross-modal semantics and modality-specific details, causing redundancy or collapse; (2) Architecture-Data Mismatch: vanilla Transformers treat semantic IDs as flat streams, ignoring the hierarchy of user interactions, items, and tokens. Expanding items into multiple tokens amplifies length and noise, biasing attention toward local details over holistic semantics. We propose Hi-SAM, a Hierarchical Structure-Aware Multi-modal framework with two designs: (1) Disentangled Semantic Tokenizer (DST): unifies modalities via geometry-aware alignment and quantizes them via a coarse-to-fine strategy. Shared codebooks distill consensus while modality-specific ones recover nuances from residuals, enforced by mutual information minimization; (2) Hierarchical Memory-Anchor Transformer (HMAT): splits positional encoding into inter- and intra-item subspaces via Hierarchical RoPE to restore hierarchy. It inserts Anchor Tokens to condense items into compact memory, retaining details for the current item while accessing history only through compressed summaries. Experiments on real-world datasets show consistent improvements over SOTA baselines, especially in cold-start scenarios. Deployed on a large-scale social platform serving millions of users, Hi-SAM achieved a 6.55% gain in the core online metric.




Abstract:User behavior has been validated to be effective in revealing personalized preferences for commercial recommendations. However, few user-item interactions can be collected for new users, which results in a null space for their interests, i.e., the cold-start dilemma. In this paper, a two-tower framework, namely, the model-agnostic interest learning (MAIL) framework, is proposed to address the cold-start recommendation (CSR) problem for recommender systems. In MAIL, one unique tower is constructed to tackle the CSR from a zero-shot view, and the other tower focuses on the general ranking task. Specifically, the zero-shot tower first performs cross-modal reconstruction with dual auto-encoders to obtain virtual behavior data from highly aligned hidden features for new users; and the ranking tower can then output recommendations for users based on the completed data by the zero-shot tower. Practically, the ranking tower in MAIL is model-agnostic and can be implemented with any embedding-based deep models. Based on the co-training of the two towers, the MAIL presents an end-to-end method for recommender systems that shows an incremental performance improvement. The proposed method has been successfully deployed on the live recommendation system of NetEase Cloud Music to achieve a click-through rate improvement of 13% to 15% for millions of users. Offline experiments on real-world datasets also show its superior performance in CSR. Our code is available.




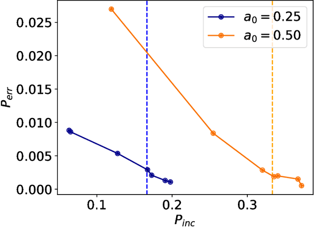
Abstract:Quantum mechanics fundamentally forbids deterministic discrimination of quantum states and processes. However, the ability to optimally distinguish various classes of quantum data is an important primitive in quantum information science. In this work, we train near-term quantum circuits to classify data represented by non-orthogonal quantum probability distributions using the Adam stochastic optimization algorithm. This is achieved by iterative interactions of a classical device with a quantum processor to discover the parameters of an unknown non-unitary quantum circuit. This circuit learns to simulates the unknown structure of a generalized quantum measurement, or Positive-Operator-Value-Measure (POVM), that is required to optimally distinguish possible distributions of quantum inputs. Notably we use universal circuit topologies, with a theoretically motivated circuit design, which guarantees that our circuits can in principle learn to perform arbitrary input-output mappings. Our numerical simulations show that shallow quantum circuits could be trained to discriminate among various pure and mixed quantum states exhibiting a trade-off between minimizing erroneous and inconclusive outcomes with comparable performance to theoretically optimal POVMs. We train the circuit on different classes of quantum data and evaluate the generalization error on unseen mixed quantum states. This generalization power hence distinguishes our work from standard circuit optimization and provides an example of quantum machine learning for a task that has inherently no classical analogue.