Abstract:Low earth orbit (LEO) satellite-assisted integrated sensing and communications (ISAC) systems have been extensively studied to achieve ubiquitous connectivity. However, the severe signal attenuation and limited transmit power at LEO satellites can degrade ISAC performance. To address this issue, this paper investigated movable antenna (MA)-assisted LEO ISAC systems. We derive the communication signal-to-interference-plus-noise ratio (SINR) and the sensing squared position error bound (SPEB) for evaluating the ISAC performance. Then, we jointly optimize the transmit beamforming and the MA positions to minimize the SPEB under the SINR constraints, total transmit power constraint, and several inherent physical constraints of the MA array. We first simplify the complex problem using the semidefinite relaxation (SDR). Then, we present a novel alternating optimization (AO)-based algorithm to decouple the original problem into two subproblems, consequently convexified and solved. Simulations demonstrate the convergence and effectiveness of the proposed algorithm. Better trade-off between communication and sensing performance, and at least 25% gain in sensing performance are achieved, compared to the benchmarks.
Abstract:This letter introduces a novel unmanned aerial vehicle (UAV)-intelligent reflecting surface (IRS) structure into near-field localization systems to enhance the design flexibility of IRS, thereby obtaining additional performance gains. Specifically, a UAV-IRS is utilized to improve the harsh wireless environment and provide localization possibilities. To improve the localization accuracy, a joint optimization problem considering UAV position and UAV-IRS passive beamforming is formulated to maximize the receiving signal-to-noise ratio (SNR). An alternative optimization algorithm is proposed to solve the complex non-convex problem leveraging the projected gradient ascent (PGA) algorithm and the principle of minimizing the phase difference of the receiving signals. Closed-form expressions for UAV-IRS phase shift are derived to reduce the algorithm complexity. In the simulations, the proposed algorithm is compared with three different schemes and outperforms the others in both receiving SNR and localization accuracy.




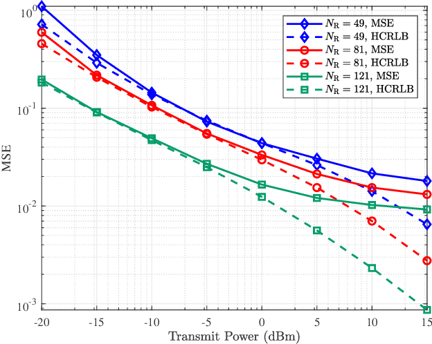
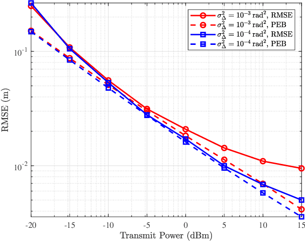
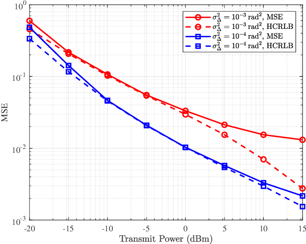
Abstract:By incorporating reconfigurable intelligent surface (RIS) into communication-assisted localization systems, the issue of signal blockage caused by obstacles can be addressed, and passive beamforming can be employed to enhance localization accuracy. However, existing works mainly consider ideal channels and do not account for the effects of realistic impairments like carrier frequency offset (CFO) and phase noise (PN) on localization. This paper proposes an iterative joint estimation algorithm for CFO, PN, and user position based on maximum a posteriori (MAP) criterion and gradient descent (GD) algorithm. Closed-form expressions for CFO and PN updates are provided. The hybrid Cram\'{e}r-Rao lower bound (HCRLB) for the estimation parameters is derived, and the ambiguity in CFO and PN estimation is analyzed. To minimize the HCRLB, a non-convex RIS shift optimization problem is formulated and is transformed into a convex semidefinite programming (SDP) problem using the technique of semidefinite relaxation (SDR) and Schur complement. After optimizing the RIS phase shift, the theoretical positioning accuracy within the area of interest (AOI) can be improved by two orders of magnitude, with a maximum positioning root mean square error (RMSE) lower than $\rm 10^{-2}m$.