



Abstract:In this paper, we propose bit-interleaved multiple access (BIMA) to enable Internet-of-Things (IoT) networks where a massive connection is required with limited resource blocks. First, by providing a true power allocation (PA) constraint for conventional NOMA with practical constraints, we demonstrate that it cannot support massive connections. To this end, we propose BIMA where there are no strict PA constraints, unlike conventional NOMA, thus allowing a high number of devices. We provide a comprehensive analytical framework for BIMA for all key performance indicators (KPIs) (i.e., ergodic capacity [EC], outage probability [OP], and bit error rate [BER]). We evaluate Jain's fairness index and proportional fairness index in terms of all KPIs. Based on the extensive computer simulations, we reveal that BIMA outperforms conventional NOMA significantly, with a performance gain of up to 20-30dB. This performance gain becomes greater when more devices are supported. BIMA provides a full diversity order and enables the implementation of an arbitrary number of devices and modulation orders, which is crucial for IoT networks in dense areas. BIMA guarantees a fairness system where none of the devices gets a severe performance and the sum-rate is shared in a fair manner among devices by guarantying QoS satisfaction. Finally, we provide an intense complexity and latency analysis and demonstrate that BIMA provides lower latency compared to conventional NOMA since it allows parallel computing at the receivers and no iterative operations are required. We show that BIMA reduces latency by up to 350\% for specific devices and 170\% on average.


Abstract:Non-orthogonal multiple access (NOMA) has been a strong candidate to support massive connectivity in future wireless networks. In this regard, its implementation into cooperative relaying, named cooperative-NOMA (CNOMA), has received tremendous attention by researchers. However, most of the existing CNOMA studies have failed to address practical constraints since they assume ideal conditions. Particularly, error performance of CNOMA schemes with imperfections has not been investigated, yet. In this letter, we provide an analytical framework for error performance of CNOMA schemes under practical assumptions where we take into account imperfect successive interference canceler (SIC), imperfect channel estimation (ICSI), and hardware impairments (HWI) at the transceivers. We derive bit error rate (BER) expressions in CNOMA schemes whether the direct links between source and users exist or not which is, to the best of the authors' knowledge, the first study in the open literature. For comparisons, we also provide BER expression for downlink NOMA with practical constraints which has also not been given in literature, yet. The theoretical BER expressions are validated with computer simulations where the perfect-match is observed. Finally, we discuss the effects of the system parameters (e.g., power allocation, HWI level) on the performance of CNOMA schemes to reveal fruitful insights for the society.




Abstract:Cooperative non-orthogonal multiple access (CNOMA) has recently been adapted with energy harvesting (EH) to increase energy efficiency and extend the lifetime of energy-constrained wireless networks. This paper proposes a hybrid EH protocol-assisted CNOMA, which is a combination of the two main existing EH protocols (power splitting (PS) and time switching (TS)). The end-to-end bit error rate (BER) expressions of users in the proposed scheme are obtained over Nakagami-$m$ fading channels. The proposed hybrid EH (HEH) protocol is compared with the benchmark schemes (i.e., existing EH protocols and no EH). Based on the extensive simulations, we reveal that the analytical results match perfectly with simulations which proves the correctness of the derivations. Numerical results also show that the HEH-CNOMA outperforms the benchmarks significantly. In addition, we discuss the optimum value of EH factors to minimize the error probability in HEH-CNOMA and show that an optimum value can be obtained according to channel parameters.




Abstract:This work provides a generalized performance analysis for the multi-user uplink-NOMA system with adaptive square quadrature amplitude modulation (QAM) over Rayleigh fading channels. Motivated by the massive IoT connections and unavailability of orthogonal resources for each node, we consider a multi-access scheme where multi-users with single-antenna transmit data to a multiple-antenna base station through the same resource block. By taking advantage of combining diversity paths with the proposed joint maximum-likelihood detector (JMLD), a closed form expression for the upper bound of bit error rate (BER) is obtained. Despite the number of users or the order of modulation, the analytical results endorsed via computer simulations reveal the ability of the MRC-JMLD detector to discard the error floor completely. Moreover, the simulation results show that the MRC-JMLD surpasses its counterparts significantly and ensures a full diversity order.




Abstract:In this letter, we propose a deep learning-aided multi-user detection (DeepMuD) in uplink non-orthogonal multiple access (NOMA) to empower the massive machine-type communication where an offline-trained Long Short-Term Memory (LSTM)-based network is used for multi-user detection. In the proposed DeepMuD, a perfect channel state information (CSI) is also not required since it is able to perform a joint channel estimation and multi-user detection with the pilot responses, where the pilot-to-frame ratio is very low. The proposed DeepMuD improves the error performance of the uplink NOMA significantly and outperforms the conventional detectors (even with perfect CSI). Moreover, this gain becomes superb with the increase in the number of Internet of Things (IoT) devices. Furthermore, the proposed DeepMuD has a flexible detection and regardless of the number of IoT devices, the multi-user detection can be performed. Thus, an arbitrary number of IoT devices can be served without a signaling overhead, which enables the grant-free communication.
Abstract:Non-Orthogonal Multiple Access (NOMA) has higher spectral efficiency than orthogonal multiple access (OMA) techniques. In uplink communication systems that the channel is not known at the receiver, pilot signals sent from each user in different time intervals have reduced the spectral efficiency of NOMA. In this study, in the uplink communication system, DL-deep learning based detectors which are known to respond to the pilot signals sent from the users at the base station have been researched. It is aimed to maintain the spectral efficiency of NOMA by sending a single pilot from users, thus reducing the time interval in the DL detectors.




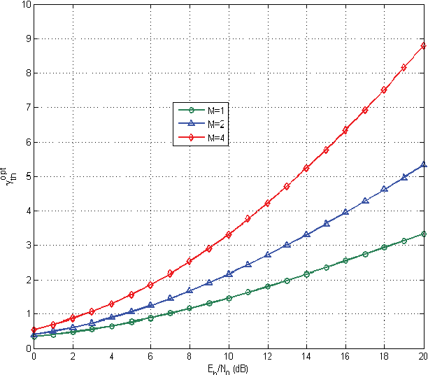
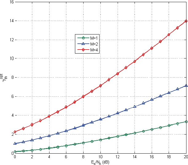
Abstract:In wireless communications, the cooperative communication (CC) technology promises performance gains compared to traditional Single-Input Single Output (SISO) techniques. Therefore, the CC technique is one of the nominees for 5G networks. In the Decode-and-Forward (DF) relaying scheme which is one of the CC techniques, determination of the threshold value at the relay has a key role for the system performance and power usage. In this paper, we propose prediction of the optimal threshold values for the best relay selection scheme in cooperative communications, based on Artificial Neural Networks (ANNs) for the first time in literature. The average link qualities and number of relays have been used as inputs in the prediction of optimal threshold values using Artificial Neural Networks (ANNs): Multi-Layer Perceptron (MLP) and Radial Basis Function (RBF) networks. The MLP network has better performance from the RBF network on the prediction of optimal threshold value when the same number of neurons is used at the hidden layer for both networks. Besides, the optimal threshold values obtained using ANNs are verified by the optimal threshold values obtained numerically using the closed form expression derived for the system. The results show that the optimal threshold values obtained by ANNs on the best relay selection scheme provide a minimum Bit-Error-Rate (BER) because of the reduction of the probability that error propagation may occur. Also, for the same BER performance goal, prediction of optimal threshold values provides 2dB less power usage, which is great gain in terms of green communicationBER performance goal, prediction of optimal threshold values provides 2dB less power usage, which is great gain in terms of green communication.