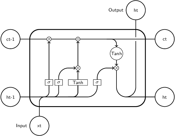
Abstract:Dengue fever is one of the most deadly mosquito-born tropical infectious diseases. Detailed long range forecast model is vital in controlling the spread of disease and making mitigation efforts. In this study, we examine methods used to forecast dengue cases for long range predictions. The dataset consists of local climate/weather in addition to global climate indicators of Singapore from 2000 to 2019. We utilize newly developed deep neural networks to learn the intricate relationship between the features. The baseline models in this study are in the class of recent transformers for long sequence forecasting tasks. We found that a Fourier mixed window attention (FWin) based transformer performed the best in terms of both the mean square error and the maximum absolute error on the long range dengue forecast up to 60 weeks.




Abstract:We developed an integrated recurrent neural network and nonlinear regression spatio-temporal model for vector-borne disease evolution. We take into account climate data and seasonality as external factors that correlate with disease transmitting insects (e.g. flies), also spill-over infections from neighboring regions surrounding a region of interest. The climate data is encoded to the model through a quadratic embedding scheme motivated by recommendation systems. The neighboring regions' influence is modeled by a long short-term memory neural network. The integrated model is trained by stochastic gradient descent and tested on leish-maniasis data in Sri Lanka from 2013-2018 where infection outbreaks occurred. Our model outperformed ARIMA models across a number of regions with high infections, and an associated ablation study renders support to our modeling hypothesis and ideas.




Abstract:As the COVID-19 pandemic evolves, reliable prediction plays an important role for policy making. The classical infectious disease model SEIR (susceptible-exposed-infectious-recovered) is a compact yet simplistic temporal model. The data-driven machine learning models such as RNN (recurrent neural networks) can suffer in case of limited time series data such as COVID-19. In this paper, we combine SEIR and RNN on a graph structure to develop a hybrid spatio-temporal model to achieve both accuracy and efficiency in training and forecasting. We introduce two features on the graph structure: node feature (local temporal infection trend) and edge feature (geographic neighbor effect). For node feature, we derive a discrete recursion (called I-equation) from SEIR so that gradient descend method applies readily to its optimization. For edge feature, we design an RNN model to capture the neighboring effect and regularize the landscape of loss function so that local minima are effective and robust for prediction. The resulting hybrid model (called IeRNN) improves the prediction accuracy on state-level COVID-19 new case data from the US, out-performing standard temporal models (RNN, SEIR, and ARIMA) in 1-day and 7-day ahead forecasting. Our model accommodates various degrees of reopening and provides potential outcomes for policymakers.
Abstract:The outbreaks of Coronavirus Disease 2019 (COVID-19) have impacted the world significantly. Modeling the trend of infection and real-time forecasting of cases can help decision making and control of the disease spread. However, data-driven methods such as recurrent neural networks (RNN) can perform poorly due to limited daily samples in time. In this work, we develop an integrated spatiotemporal model based on the epidemic differential equations (SIR) and RNN. The former after simplification and discretization is a compact model of temporal infection trend of a region while the latter models the effect of nearest neighboring regions. The latter captures latent spatial information. %that is not publicly reported. We trained and tested our model on COVID-19 data in Italy, and show that it out-performs existing temporal models (fully connected NN, SIR, ARIMA) in 1-day, 3-day, and 1-week ahead forecasting especially in the regime of limited training data.