Abstract:Point cloud compression has become a crucial factor in immersive visual media processing and streaming. This paper presents a new open dataset called UVG-VPC for the development, evaluation, and validation of MPEG Visual Volumetric Video-based Coding (V3C) technology. The dataset is distributed under its own non-commercial license. It consists of 12 point cloud test video sequences of diverse characteristics with respect to the motion, RGB texture, 3D geometry, and surface occlusion of the points. Each sequence is 10 seconds long and comprises 250 frames captured at 25 frames per second. The sequences are voxelized with a geometry precision of 9 to 12 bits, and the voxel color attributes are represented as 8-bit RGB values. The dataset also includes associated normals that make it more suitable for evaluating point cloud compression solutions. The main objective of releasing the UVG-VPC dataset is to foster the development of V3C technologies and thereby shape the future in this field.





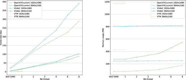
Abstract:In recent years, the global demand for high-resolution videos and the emergence of new multimedia applications have created the need for a new video coding standard. Hence, in July 2020 the Versatile Video Coding (VVC) standard was released providing up to 50% bit-rate saving for the same video quality compared to its predecessor High Efficiency Video Coding (HEVC). However, this bit-rate saving comes at the cost of a high computational complexity, particularly for live applications and on resource-constraint embedded devices. This paper presents two optimized VVC software decoders, named OpenVVC and Versatile Video deCoder (VVdeC), designed for low resources platforms. They exploit optimization techniques such as data level parallelism using Single Instruction Multiple Data (SIMD) instructions and functional level parallelism using frame, tile and slice-based parallelisms. Furthermore, a comparison in terms of decoding run time, energy and memory consumption between the two decoders is presented while targeting two different resource-constraint embedded devices. The results showed that both decoders achieve real-time decoding of Full High definition (FHD) resolution over the first platform using 8 cores and High-definition (HD) real-time decoding for the second platform using only 4 cores with comparable results in terms of average consumed energy: around 26 J and 15 J for the 8 cores and 4 cores embedded platforms, respectively. Regarding the memory usage, OpenVVC showed better results with less average maximum memory consumed during run time compared to VVdeC.





Abstract:In the recent years, users requirements for higher resolution, coupled with the apparition of new multimedia applications, have created the need for a new video coding standard. The new generation video coding standard, called Versatile Video Coding (VVC), has been developed by the Joint Video Experts Team, and offers coding capability beyond the previous generation High Efficiency Video Coding (HEVC) standard. Due to the incorporation of more advanced and complex tools, the decoding complexity of VVC standard compared to HEVC has approximately doubled. This complexity increase raises new research challenges to achieve live software decoding. In this context, we developed OpenVVC, an open-source software decoder that supports a broad range of VVC functionalities. This paper presents the OpenVVC software architecture, its parallelism strategy as well as a detailed set of experimental results. By combining extensive data level parallelism with frame level parallelism, OpenVVC achieves real-time decoding of UHD video content. Moreover, the memory required by OpenVVC is remarkably low, which presents a great advantage for its integration on embedded platforms with low memory resources. The code of the OpenVVC decoder is publicly available at https://github.com/OpenVVC/OpenVVC





Abstract:Versatile video coding (VVC) is the next generation video coding standard developed by the joint video experts team (JVET) and released in July 2020. VVC introduces several new coding tools providing a significant coding gain over the high efficiency video coding (HEVC) standard. It is well known that increasing the coding efficiency adds more dependencies in the video bitstream making format-compliant encryption with the standard more challenging. In this paper we tackle the problem of selective encryption of the VVC standard in format-compliant and constant bitrate. These two constraints ensure that the encrypted bitstream can be decoded by any VVC decoder while the bitrate remains unchanged by the encryption. The selective encryption of all possible VVC syntax elements is investigated. A new algorithm is proposed to encrypt in format-compliant and constant bitrate the transform coefficients (TCs) together with other syntax elements at the level of the entropy encoder. The proposed solution was integrated and assessed under the VVC reference software model version 6.0. Experimental results showed that the encryption drastically decreases the video quality while the encryption is robust against several types of attacks. The encryption space is estimated in the range of 15% to 26% of the bitstream size resulting in a lightweight encryption process. The web page of this work is available at https://gugautie.github.io/sevvc/.


Abstract:Determinantal point processes (DPPs) are specific probability distributions over clouds of points that are used as models and computational tools across physics, probability, statistics, and more recently machine learning. Sampling from DPPs is a challenge and therefore we present DPPy, a Python toolbox that gathers known exact and approximate sampling algorithms. The project is hosted on GitHub and equipped with an extensive documentation. This documentation takes the form of a short survey of DPPs and relates each mathematical property with DPPy objects.





Abstract:Determinantal point processes (DPPs) are distributions over sets of items that model diversity using kernels. Their applications in machine learning include summary extraction and recommendation systems. Yet, the cost of sampling from a DPP is prohibitive in large-scale applications, which has triggered an effort towards efficient approximate samplers. We build a novel MCMC sampler that combines ideas from combinatorial geometry, linear programming, and Monte Carlo methods to sample from DPPs with a fixed sample cardinality, also called projection DPPs. Our sampler leverages the ability of the hit-and-run MCMC kernel to efficiently move across convex bodies. Previous theoretical results yield a fast mixing time of our chain when targeting a distribution that is close to a projection DPP, but not a DPP in general. Our empirical results demonstrate that this extends to sampling projection DPPs, i.e., our sampler is more sample-efficient than previous approaches which in turn translates to faster convergence when dealing with costly-to-evaluate functions, such as summary extraction in our experiments.
