Abstract:Non-orthogonal multiple access (NOMA) is widely recognized for enhancing the energy and spectral efficiency through effective radio resource sharing. However, uplink NOMA systems face greater challenges than their downlink counterparts, as their bit error rate (BER) performance is hindered by an inherent error floor due to error propagation caused by imperfect successive interference cancellation (SIC). This paper investigates BER performance improvements enabled by reconfigurable intelligent surfaces (RISs) in multi-user uplink NOMA transmission. Specifically, we propose a novel RIS-assisted uplink NOMA design, where the RIS phase shifts are optimized to enhance the received signal amplitudes while mitigating the phase rotations induced by the channel. To achieve this, we first develop an accurate channel model for the effective user channels, which facilitates our BER analysis. We then introduce a channel alignment scheme for a two-user scenario, enabling efficient SIC-based detection and deriving closed-form BER expressions. We further extend the analysis to a generalized setup with an arbitrary number of users and modulation orders for quadrature amplitude modulation signaling. Using the derived BER expressions, we develop an optimized uplink NOMA power allocation (PA) scheme that minimizes the average BER while satisfying the user transmit power constraints. It will be shown that the proposed NOMA detection scheme, in conjunction with the optimized PA strategy, eliminate SIC error floors at the base station. The theoretical BER expressions are validated using simulations, which confirms the effectiveness of the proposed design in eliminating BER floors.




Abstract:In this paper, the symbol error rate performance analysis is provided for a pilot-aided simultaneous communication and tracking (PASCAT) system. In specific, we employ multiple drones to actively transmit signals to a BS, which is responsible for continuously monitoring the location of drones over time and decoding the symbols transmitted from the drones. It is found that the estimated location parameters at a given moment during tracking follow Gaussian distributions with means equal to actual values and variances equal to root mean square error (RMSE). Afterwards, the obtained location information is employed for informing the channel information, which is then used to preprocess the received signal before decoding by using the maximum ratio combining (MRC) technique. The average symbol error rate (SER) is also evaluated over the distribution of the estimated location parameters and an approximate value for the average SER is obtained by using a Taylor approximation with fast convergence. The result indicates that there is a cooperation relationship between the RMSE of the estimated location parameters and the average SER. In addition, the effect of the number of pilot signals is analysed as well. By employing more pilots, it is found that both communication and sensing functionalities are enhanced. Furthermore, the SER performance of our PASCAT system is similar to that of maximum likelihood detection (MLD) when a number of pilot signals are employed, which demonstrates the efficiency of the PASCAT system. In the end, all results are validated by using Monte Carlo simulations.




Abstract:This paper presents a novel framework that leverages the Kullback-Leibler divergence (KLD) to analyze and optimize performance trade-offs in integrated sensing and communication (ISAC) systems. We consider a multiple-input-multiple-output (MIMO) base station that simultaneously serves communication user equipments (UEs) and detects multiple targets using shared antenna deployment. The proposed KLD-based approach provides a unified performance measure encompassing both UE error rate and target detection capability. We apply this approach on two well-known communication beamforming techniques, maximum ratio transmission (MRT) and zero-forcing (ZF), and evaluate the effect on the radar subsystem. Furthermore, two optimization problems are formulated and solved. The first one optimizes the KLD of the radar subsystem for given constraints on the communication KLD, whereas the second one focuses on communication waveform KLD-based optimization and constrained radar KLD. These optimization problems are solved using a projected gradient method with an adaptive penalty for the radar waveform and a gradient-assisted interior point method for the communication waveform. Through theoretical derivations and extensive simulations, it is demonstrated that our approach can be a powerful tool for characterizing and optimizing the performance trade-offs of ISAC under various configurations. The results also show significant improvements in both sensing and communication performance by the KLD-optimized system compared to well-known benchmarks, such as conventional MRT and ZF for the communication subsystem, and the conventional identity covariance design for the radar subsystem. These findings support the holistic design and optimization of ISAC in next-generation wireless networks.




Abstract:This paper investigates the bit error rate (BER) and outage probability performance of integrated sensing and communication (ISaC) in uplink non-orthogonal multiple access (NOMA) based Internet of Things (IoT) systems. Specifically, we consider an ISaC system where the radar signal is designed to be orthogonal to the communication signal over two symbol periods so that its interference on the communication signal is completely eliminated when detecting the data in pairs of consecutive symbols. This is akin to multi-symbol rate NOMA systems except in this case as the radar bears no data, its waveform is manipulated to be orthogonal to the transmitted communication signal. To eliminate potential decision ambiguity during the pair-wise data detection, a constant phase-offset between adjacent communication symbols is applied at the transmitter. The performance of such a system is analyzed through deriving analytical expressions for the exact BER of zero-forcing (ZF) based receivers. In addition, close-form expressions for the upper BER bound and the outage probability for both ZF and the joint maximum likelihood (JML) receivers are presented. The results show that the derived expressions are perfectly matched with the simulation results. The obtained expressions provide an insight into the performance of this novel ISaC system including demonstrating the impact of various parameters and showing how the ZF receiver provides a useful trade-off between performance and complexity relative to the JML receiver.




Abstract:Non-orthogonal multiple access (NOMA) is a promising technique for ultra-reliable low-latency communication as it provides higher spectral efficiency and lower latency. In this work, we propose novel many-to-many (M2M) NOMA-based schemes to exchange broadcast, multicast, and unicast messages between cluster heads (CHs) of vehicular platoons. Specifically, we design uplink-M2M-NOMA (UM-NOMA), downlink-M2M-NOMA (DM-NOMA) and joint uplink-downlink-M2M-NOMA (UDM-NOMA) schemes for peer-to-peer vehicular ad hoc networks (VANETs). We propose a unique clustering design for full-duplex communication that utilizes the high throughput millimeter-wave (mmWave) channels. Furthermore, we investigate jointly optimal CH selection (CHS) and power allocation (PA) to maximize the network sum rate and devise a computationally efficient tailored-greedy algorithm that yields near-optimal performance. We also propose a super-cluster formation protocol to further limit the overhead of successive interference cancellation (SIC). The results reveal that in most of the considered scenarios, the proposed UDM-NOMA scheme outperforms orthogonal multiple access (OMA) in terms of sum rate by up to 50% even when the SIC receiver errors reach 10%.




Abstract:Non-orthogonal multiple access (NOMA) is widely recognized for its spectral and energy efficiency, which allows more users to share the network resources more effectively. This paper provides a generalized bit error rate (BER) performance analysis of successive interference cancellation (SIC)-based uplink NOMA systems under Rayleigh fading channels, taking into account error propagation resulting from SIC imperfections. Exact closed-form BER expressions are initially derived for scenarios with 2 and 3 users using quadrature phase shift keying (QPSK) modulation. These expressions are then generalized to encompass any arbitrary rectangular/square M-ary quadrature amplitude modulation (M-QAM) order, number of NOMA users, and number of BS antennas. Additionally, by utilizing the derived closed-form BER expressions, a simple and practically feasible power allocation (PA) technique is devised to minimize the sum bit error rate of the users and optimize the SIC-based NOMA detection at the base-station (BS). The derived closed-form expressions are corroborated through Monte Carlo simulations. It is demonstrated that these expressions can be effective for optimal uplink PA to ensure optimized SIC detection that mitigates error floors. It is also shown that significant performance improvements are achieved regardless of the users' decoding order, making uplink SIC-based NOMA a viable approach.




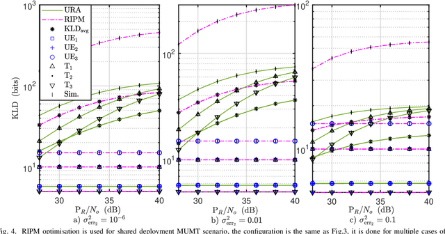
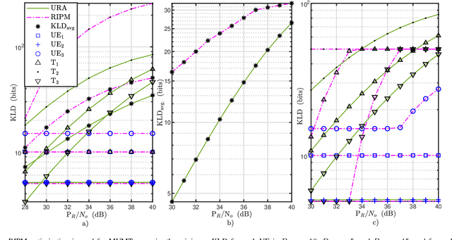
Abstract:In this paper, we introduce a novel resource allocation approach for integrated sensing-communication (ISAC) using the Kullback-Leibler divergence (KLD) metric. Specifically, we consider a base-station with limited power and antenna resources serving a number of communication users and detecting multiple targets simultaneously. First, we analyze the KLD for two possible antenna deployments, which are the separated and shared deployments, then use the results to optimize the resources of the base-station through minimising the average KLD for the network while satisfying a minimum predefined KLD requirement for each user equipment (UE) and target. To this end, the optimisation is formulated and presented as a mixed integer nonlinear programming (MINLP) problem and then solved using two approaches. In the first approach, we employ a genetic algorithm, which offers remarkable performance but demands substantial computational resources; and in the second approach, we propose a rounding-based interior-point method (RIPM) that provides a more computationally-efficient alternative solution at a negligible performance loss. The results demonstrate that the KLD metric can be an effective means for optimising ISAC networks, and that both optimisation solutions presented offer superior performance compared to uniform power and antenna allocation.
Abstract:This paper evaluates the performance of uplink integrated sensing and communication systems in the presence of gain and phase imperfections. Specifically, we consider multiple unmanned aerial vehicles (UAVs) transmitting data to a multiple-input-multiple-output base-station (BS) that is responsible for estimating the transmitted information in addition to localising the transmitting UAVs. The signal processing at the BS is divided into two consecutive stages: localisation and communication. A maximum likelihood (ML) algorithm is introduced for the localisation stage to jointly estimate the azimuth-elevation angles and Doppler frequency of the UAVs under gain-phase defects, which are then compared to the estimation of signal parameters via rotational invariance techniques (ESPRIT) and multiple signal classification (MUSIC). Furthermore, the Cramer-Rao lower bound (CRLB) is derived to evaluate the asymptotic performance and quantify the influence of the gain-phase imperfections which are modelled using Rician and von Mises distributions, respectively. Thereafter, in the communication stage, the location parameters estimated in the first stage are employed to estimate the communication channels which are fed into a maximum ratio combiner to preprocess the received communication signal. An accurate closed-form approximation of the achievable average sum data rate (SDR) for all UAVs is derived. The obtained results show that gain-phase imperfections have a significant influence on both localisation and communication, however, the proposed ML is less sensitive when compared to other algorithms. The derived analysis is concurred with simulations.




Abstract:The idea of Integrated Sensing and Communication (ISAC) offers a promising solution to the problem of spectrum congestion in future wireless networks. This paper studies the integration of intelligent reflective surfaces (IRS) with ISAC systems to improve the performance of radar and communication services. Specifically, an IRS-assisted ISAC system is investigated where a multi-antenna base station (BS) performs multi-target detection and multi-user communication. A low complexity and efficient joint optimization of transmit beamforming at the BS and reflective beamforming at the IRS is proposed. This is done by jointly optimizing the BS beamformers and IRS reflection coefficients to minimize the Frobenius distance between the covariance matrices of the transmitted signal and the desired radar beam pattern. This optimization aims to satisfy the signal-to-interference-and-noise ratio (SINR) constraints of the communication users, the total transmit power limit at the BS, and the unit modulus constraints of the IRS reflection coefficients. To address the resulting complex non-convex optimization problem, an efficient alternating optimization (AO) algorithm combining fractional programming (FP), semi-definite programming (SDP), and second order cone programming (SOCP) methods is proposed. Furthermore, we propose robust beamforming optimization for IRS-ISAC systems by adapting the proposed optimization algorithm to the IRS channel uncertainties that may exist in practical systems. Using advanced tools from convex optimization theory, the constraints containing uncertainty are transformed to their equivalent linear matrix inequalities (LMIs) to account for the channels' uncertainty radius. The results presented quantify the benefits of IRS-ISAC systems under various conditions and demonstrate the effectiveness of the proposed algorithm.




Abstract:This work investigates the performance of intelligent reflective surfaces (IRSs) assisted uplink non-orthogonal multiple access (NOMA) in energy-constrained networks. Specifically, we formulate and solve two optimization problems, one for minimizing the users' sum transmit power and another for maximizing the energy efficiency (EE) of the system. The two problems are solved by jointly optimizing the users' transmit powers and the passive beamforming coefficients at the IRS reflectors subject to the users' individual uplink rate constraints. A novel algorithm is developed to optimize the IRS passive beamforming coefficients by optimizing the objective function over the \textit{complex circle manifold} (CCM), exploiting the manifold optimization technique. The proposed manifold optimization-based solution is bench-marked against the rather \textit{standard} semi-definite relaxation method (SDR). The results show that the manifold optimization-based algorithm achieves significantly better performance for both transmit power minimization and EE maximization problems at a computational complexity lower than the SDR approach. The results also reveal that IRS-NOMA is superior to the orthogonal multiple access (OMA) counterpart only when the users' target achievable rate requirements are relatively high.