Abstract:In the real world, as the complexity of optimization problems continues to increase, there is an urgent need to research more efficient optimization methods. Current optimization algorithms excel in solving problems with a fixed number of dimensions. However, their efficiency in searching dynamic multi-dimensional spaces is unsatisfactory. In response to the challenge of cross-dimensional search in multi-dimensional spaces with varying numbers of dimensions, this study proposes a new optimization algorithm-Dynamic Dimension Wrapping (DDW) algorithm. Firstly, by utilizing the Dynamic Time Warping (DTW) algorithm and Euclidean distance, a mapping relationship between different time series across dimensions is established, thus creating a fitness function suitable for dimensionally dynamic multi-dimensional space. Additionally, DDW introduces a novel, more efficient cross-dimensional search mechanism for dynamic multidimensional spaces. Finally, through comparative tests with 31 optimization algorithms in dynamic multidimensional space search, the results demonstrate that DDW exhibits outstanding search efficiency and provides search results closest to the actual optimal solution.




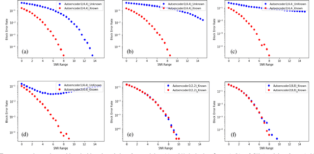
Abstract:Deep learning (DL) based autoencoder has shown great potential to significantly enhance the physical layer performance. In this paper, we present a DL based autoencoder for interference channel. Based on a characterization of a k-user Gaussian interference channel, where the interferences are classified as different levels from weak to very strong interferences based on a coupling parameter {\alpha}, a DL neural network (NN) based autoencoder is designed to train the data set and decode the received signals. The performance such a DL autoencoder for different interference scenarios are studied, with {\alpha} known or partially known, where we assume that {\alpha} is predictable but with a varying up to 10\% at the training stage. The results demonstrate that DL based approach has a significant capability to mitigate the effect induced by a poor signal-to-noise ratio (SNR) and a high interference-to-noise ratio (INR). However, the enhancement depends on the knowledge of {\alpha} as well as the interference levels. The proposed DL approach performs well with {\alpha} up to 10\% offset for weak interference level. For strong and very strong interference channel, the offset of {\alpha} needs to be constrained to less than 5\% and 2\%, respectively, to maintain similar performance as {\alpha} is known.