George Green Institute for Electromagnetics Research-GGIEMR, the University of Nottingham, UK




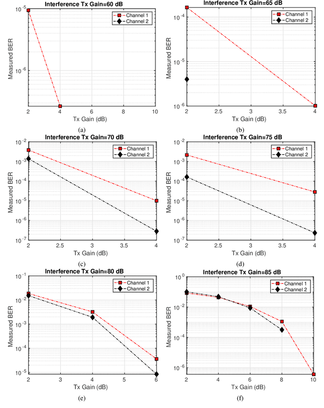
Abstract:In this work, we present a 2x2 near-field multi-input multiple-output (MIMO) prototype for bit-error-rate (BER) and error vector magnitude (EVM) measurements in a metal enclosure. The near-field MIMO prototype is developed using software-defined-radios (SDRs) for over-the-air transmission of QPSK modulated baseband waveforms. We check the near-field MIMO BER and EVM measurements in three different scenarios in a highly reflecting metal enclosure environment. In the first scenario, the line-of-sight (LOS) communication link is investigated when the mode-stirrer is stationary. In stationary channel conditions near-field MIMO BER and EVM measurements are performed. In the second scenario, BER and EVM measurements are performed in dynamic channel conditions when the mode-stirrer is set to move continuously. In the third scenario, LOS communication near-field MIMO BER and EVM measurements are performed in stationary channel conditions but now in the presence of MIMO interference. In three different scenarios, near-field MIMO BER and EVM measurements are investigated at different Tx USRP gain values and in the presence of varying levels of MIMO interference.




Abstract:Combining multi-site data can strengthen and uncover trends, but is a task that is marred by the influence of site-specific covariates that can bias the data and therefore any downstream analyses. Post-hoc multi-site correction methods exist but have strong assumptions that often do not hold in real-world scenarios. Algorithms should be designed in a way that can account for site-specific effects, such as those that arise from sequence parameter choices, and in instances where generalisation fails, should be able to identify such a failure by means of explicit uncertainty modelling. This body of work showcases such an algorithm, that can become robust to the physics of acquisition in the context of segmentation tasks, while simultaneously modelling uncertainty. We demonstrate that our method not only generalises to complete holdout datasets, preserving segmentation quality, but does so while also accounting for site-specific sequence choices, which also allows it to perform as a harmonisation tool.




Abstract:Being able to adequately process and combine data arising from different sites is crucial in neuroimaging, but is difficult, owing to site, sequence and acquisition-parameter dependent biases. It is important therefore to design algorithms that are not only robust to images of differing contrasts, but also be able to generalise well to unseen ones, with a quantifiable measure of uncertainty. In this paper we demonstrate the efficacy of a physics-informed, uncertainty-aware, segmentation network that employs augmentation-time MR simulations and homogeneous batch feature stratification to achieve acquisition invariance. We show that the proposed approach also accurately extrapolates to out-of-distribution sequence samples, providing well calibrated volumetric bounds on these. We demonstrate a significant improvement in terms of coefficients of variation, backed by uncertainty based volumetric validation.




Abstract:Bluetooth Low Energy (BLE) is a short-range data transmission technology that is used for multimedia file sharing, home automation, and internet-of-things application. In this work, we perform packet error rate (PER) measurement and RF testing of BLE receiver in the harsh electromagnetic environment and in presence of RF interference. We check the PER performance in the line-of-sight (LOS) and non-line-of-sight (NLOS) scenario in absence of any interfering signal and in presence of wideband WLAN interference. The BLE PER measurements are conducted in a large reverberation chamber which is a rich scattering environment. Software-defined-radio has been used to create BLE communication link for PER measurement in LOS and NLOS configuration. The BLE PER is measured both in the presence and in absence of WLAN interference. Our measurement results show a higher PER for uncoded BLE PHY modes in NLOS channel condition and in presence of wideband interference. Whereas coded BLE PHY modes i.e. LE500K and LE125K are robust to interference with lower PER measurements.




Abstract:In this work, we present near-field image transmission and error vector magnitude measurement in a rich scattering environment in a metal enclosure. We check the effect of loading metal enclosure on the performance of SDR based near-field communication link. We focus on the key communication receiver parameters to observe the effect of near-field link in presence of rich-scattering and in presence of loading with RF absorber cones. The near-field performance is measured by transmitting wideband OFDM-modulated packets containing image information. Our finding suggests that the performance of OFDM based wideband near-field communication improves when the metal enclosure is loaded with RF absorbers. Near-field EVM improves when the enclosure is loaded with RF absorber cones. Loading of the metal enclosure has the effect of increased coherence bandwidth. Frequency selectivity was observed in an empty enclosure which suggests coherence bandwidth less than the signal bandwidth.




Abstract:We present the statistical characterization of a 2x2 Multiple-Input Multiple-Output wireless link operated in a mode-stirred enclosure, with channel state information available only at the receiver (agnostic transmitter). Our wireless channel measurements are conducted in absence of line of sight and varying the inter-element spacing between the two antenna elements in both the transmit and receive array. The mode-stirred cavity is operated: i) at a low number of stirrer positions to create statistical inhomogeneity; ii) at two different loading conditions, empty and with absorbers, in order to mimic a wide range of realistic equipment level enclosures. Our results show that two parallel channels are obtained within the confined space at both the operating conditions. The statistical characterization of the wireless channel is presented in terms of coherence bandwidth, path loss, delay spread and Rician factor, and wideband channel capacity. It is found that the severe multipath fading supported by a highly reflecting environment creates unbalance between the two Multiple-Input Multiple-Output channels, even in presence of substantial losses. Furthermore, the channel capacity has a multi-modal distribution whose average and variance scale monotonically with the number of absorbers. Results are of interest in IoT devices, including wireless chip-to-chip and device-to-device communications, operating in highly reflective environments.