



Abstract:Artifact removal in electroencephalography (EEG) is a longstanding challenge that significantly impacts neuroscientific analysis and brain-computer interface (BCI) performance. Tackling this problem demands advanced algorithms, extensive noisy-clean training data, and thorough evaluation strategies. This study presents the Artifact Removal Transformer (ART), an innovative EEG denoising model employing transformer architecture to adeptly capture the transient millisecond-scale dynamics characteristic of EEG signals. Our approach offers a holistic, end-to-end denoising solution for diverse artifact types in multichannel EEG data. We enhanced the generation of noisy-clean EEG data pairs using an independent component analysis, thus fortifying the training scenarios critical for effective supervised learning. We performed comprehensive validations using a wide range of open datasets from various BCI applications, employing metrics like mean squared error and signal-to-noise ratio, as well as sophisticated techniques such as source localization and EEG component classification. Our evaluations confirm that ART surpasses other deep-learning-based artifact removal methods, setting a new benchmark in EEG signal processing. This advancement not only boosts the accuracy and reliability of artifact removal but also promises to catalyze further innovations in the field, facilitating the study of brain dynamics in naturalistic environments.




Abstract:Electroencephalography (EEG) signals are often contaminated with artifacts. It is imperative to develop a practical and reliable artifact removal method to prevent misinterpretations of neural signals and underperformance of brain-computer interfaces. This study developed a new artifact removal method, IC-U-Net, which is based on the U-Net architecture for removing pervasive EEG artifacts and reconstructing brain sources. The IC-U-Net was trained using mixtures of brain and non-brain sources decomposed by independent component analysis and employed an ensemble of loss functions to model complex signal fluctuations in EEG recordings. The effectiveness of the proposed method in recovering brain sources and removing various artifacts (e.g., eye blinks/movements, muscle activities, and line/channel noises) was demonstrated in a simulation study and three real-world EEG datasets collected at rest and while driving and walking. IC-U-Net is user-friendly and publicly available, does not require parameter tuning or artifact type designations, and has no limitations on channel numbers. Given the increasing need to image natural brain dynamics in a mobile setting, IC-U-Net offers a promising end-to-end solution for automatically removing artifacts from EEG recordings.




Abstract:This paper presents a novel oversampling technique that addresses highly imbalanced benchmark and electroencephalogram (EEG) data distributions. Presently, conventional machine learning technologies do not adequately address imbalanced data with an anomalous class distribution and underrepresented data. To balance the class distributions, an adaptive subspace self-organizing map (ASSOM) that combines a local mapping scheme and the globally competitive rule is proposed to artificially generate synthetic samples that focus on minority class samples and its application in EEG. The ASSOM is configured with feature-invariant characteristics, including translation, scaling, and rotation, and it retains the independence of the basis vectors in each module. Specifically, basis vectors that are generated via each ASSOM module can avoid generating repeated representative features that only increase the computational load. Several benchmark experimental results demonstrate that the proposed ASSOM method incorporating a supervised learning approach could be superior to other existing oversampling techniques, and two EEG applications present the improvement of classification accuracy using the proposed ASSOM method.




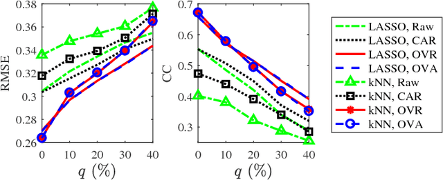
Abstract:Electroencephalogram (EEG) signals are frequently used in brain-computer interfaces (BCIs), but they are easily contaminated by artifacts and noises, so preprocessing must be done before they are fed into a machine learning algorithm for classification or regression. Spatial filters have been widely used to increase the signal-to-noise ratio of EEG for BCI classification problems, but their applications in BCI regression problems have been very limited. This paper proposes two common spatial pattern (CSP) filters for EEG-based regression problems in BCI, which are extended from the CSP filter for classification, by making use of fuzzy sets. Experimental results on EEG-based response speed estimation from a large-scale study, which collected 143 sessions of sustained-attention psychomotor vigilance task data from 17 subjects during a 5-month period, demonstrate that the two proposed spatial filters can significantly increase the EEG signal quality. When used in LASSO and k-nearest neighbors regression for user response speed estimation, the spatial filters can reduce the root mean square estimation error by 10.02-19.77%, and at the same time increase the correlation to the true response speed by 19.39-86.47%.