Abstract:We analyze the uplink performance of a distributed massive multiple-input multiple-output (MIMO) architecture in which the remotely located access points (APs) are connected to a central processing unit via a fiber-optical fronthaul carrying a dithered and 1-bit quantized version of the received radio-frequency (RF) signal. The innovative feature of the proposed architecture is that no down-conversion is performed at the APs. This eliminates the need to equip the APs with local oscillators, which may be difficult to synchronize. Under the assumption that a constraint is imposed on the amount of data that can be exchanged across the fiber-optical fronthaul, we investigate the tradeoff between spatial oversampling, defined in terms of the total number of APs, and temporal oversampling, defined in terms of the oversampling factor selected at the central processing unit, to facilitate the recovery of the transmitted signal from 1-bit samples of the RF received signal. Using the so-called error-vector magnitude (EVM) as performance metric, we shed light on the optimal design of the dither signal, and quantify, for a given number of APs, the minimum fronthaul rate required for our proposed distributed massive MIMO architecture to outperform a standard co-located massive MIMO architecture in terms of EVM.




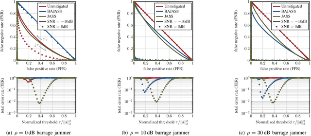
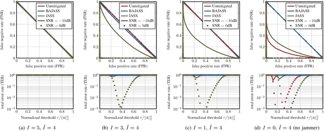
Abstract:Spatial filtering based on multiple-input multiple-output (MIMO) processing is a promising approach to jammer mitigation. Effective MIMO data detectors that mitigate smart jammers have recently been proposed, but they all assume perfect time synchronization between transmitter(s) and receiver. However, to the best of our knowledge, there are no methods for resilient time synchronization in the presence of smart jammers. To remedy this situation, we propose JASS, the first method that enables reliable time synchronization for the single-user MIMO uplink while mitigating smart jamming attacks. JASS detects a randomized synchronization sequence based on a novel optimization problem that fits a spatial filter to the time-windowed receive signal in order to mitigate the jammer. We underscore the efficacy of the proposed optimization problem by proving that it ensures successful time synchronization under certain intuitive conditions. We then derive an efficient algorithm for approximately solving our optimization problem. Finally, we use simulations to demonstrate the effectiveness of JASS against a wide range of different jammer types.




Abstract:We propose new low-fidelity (LoFi) user equipment (UE) scheduling algorithms for multiuser multiple-input multiple-output (MIMO) wireless communication systems. The proposed methods rely on an efficient guess-and-check procedure that, given an objective function, performs paired comparisons between random subsets of UEs that should be scheduled in certain time slots. The proposed LoFi scheduling methods are computationally efficient, highly parallelizable, and gradient-free, which enables the use of almost arbitrary, non-differentiable objective functions. System simulations in a millimeter-wave (mmWave) multiuser MIMO scenario demonstrate that the proposed LoFi schedulers outperform a range of state-of-the-art user scheduling algorithms in terms of bit error-rate and/or computational complexity.



Abstract:Massive grant-free transmission and cell-free wireless communication systems have emerged as pivotal enablers for massive machine-type communication. This paper proposes a deep-unfolding-based joint activity and data detection (DU-JAD) algorithm for massive grant-free transmission in cell-free systems. We first formulate a joint activity and data detection optimization problem, which we solve approximately using forward-backward splitting (FBS). We then apply deep unfolding to FBS to optimize algorithm parameters using machine learning. In order to improve data detection (DD) performance, reduce algorithm complexity, and enhance active user detection (AUD), we employ a momentum strategy, an approximate posterior mean estimator, and a novel soft-output AUD module, respectively. Simulation results confirm the efficacy of DU-JAD for AUD and DD.
Abstract:Beamforming is a powerful tool for physical layer security, as it can be used for steering signals towards legitimate receivers and away from eavesdroppers. An active eavesdropper, however, can interfere with the pilot phase that the transmitter needs to acquire the channel knowledge necessary for beamforming. By doing so, the eavesdropper can make the transmitter form beams towards the eavesdropper rather than towards the legitimate receiver. To mitigate active eavesdroppers, we propose VILLAIN, a novel channel estimator that uses secret pilots. When an eavesdropper interferes with the pilot phase, VILLAIN produces a channel estimate that is orthogonal to the eavesdropper's channel (in the noiseless case). We prove that beamforming based on this channel estimate delivers the highest possible signal power to the legitimate receiver without delivering any signal power to the eavesdropper. Simulations show that VILLAIN mitigates active eavesdroppers also in the noisy case.




Abstract:Channel charting (CC) applies dimensionality reduction to channel state information (CSI) data at the infrastructure basestation side with the goal of extracting pseudo-position information for each user. The self-supervised nature of CC enables predictive tasks that depend on user position without requiring any ground-truth position information. In this work, we focus on the practically relevant streaming CSI data scenario, in which CSI is constantly estimated. To deal with storage limitations, we develop a novel streaming CC architecture that maintains a small core CSI dataset from which the channel charts are learned. Curation of the core CSI dataset is achieved using a min-max-similarity criterion. Numerical validation with measured CSI data demonstrates that our method approaches the accuracy obtained from the complete CSI dataset while using only a fraction of CSI storage and avoiding catastrophic forgetting of old CSI data.




Abstract:Analog subtractive synthesizers are generally considered to provide superior sound quality compared to digital emulations. However, analog circuitry requires calibration and suffers from aging, temperature instability, and limited flexibility in generating a wide variety of waveforms. Digital synthesis can mitigate many of these drawbacks, but generating arbitrary aliasing-free waveforms remains challenging. In this paper, we present the +-synth, a hybrid digital-analog eight-voice polyphonic synthesizer prototype that combines the best of both worlds. At the heart of the synthesizer is the big Fourier oscillator (BFO), a novel digital very-large scale integration (VLSI) design that utilizes additive synthesis to generate a wide variety of aliasing-free waveforms. Each BFO produces two voices, using four oscillators per voice. A single oscillator can generate up to 1024 freely configurable partials (harmonic or inharmonic), which are calculated using coordinate rotation digital computers (CORDICs). The BFOs were fabricated as 65nm CMOS custom application-specific integrated circuits (ASICs), which are integrated in the +-synth to simultaneously generate up to 32768 partials. Four 24-bit 96kHz stereo DACs then convert the eight voices into the analog domain, followed by digitally controlled analog low-pass filtering and amplification. Measurement results of the +-synth prototype demonstrate high fidelity and low latency.




Abstract:All-digital massive multiuser (MU) multiple-input multiple-output (MIMO) at millimeter-wave (mmWave) frequencies is a promising technology for next-generation wireless systems. Low-resolution analog-to-digital converters (ADCs) can be utilized to reduce the power consumption of all-digital basestation (BS) designs. However, simultaneously transmitting user equipments (UEs) with vastly different BS-side receive powers either drown weak UEs in quantization noise or saturate the ADCs. To address this issue, we propose high dynamic range (HDR) MIMO, a new paradigm that enables simultaneous reception of strong and weak UEs with low-resolution ADCs. HDR MIMO combines an adaptive analog spatial transform with digital equalization: The spatial transform focuses strong UEs on a subset of ADCs in order to mitigate quantization and saturation artifacts; digital equalization is then used for data detection. We demonstrate the efficacy of HDR MIMO in a massive MU-MIMO mmWave scenario that uses Householder reflections as spatial transform.




Abstract:Recent advances in electronic and photonic technologies have allowed efficient signal generation and transmission at terahertz (THz) frequencies. However, as the gap in THz-operating devices narrows, the demand for terabit-per-second (Tbps)-achieving circuits is increasing. Translating the available hundreds of gigahertz (GHz) of bandwidth into a Tbps data rate requires processing thousands of information bits per clock cycle at state-of-the-art clock frequencies of digital baseband processing circuitry of a few GHz. This paper addresses these constraints and emphasizes the importance of parallelization in signal processing, particularly for channel code decoding. By leveraging structured sub-spaces of THz channels, we propose mapping bits to transmission resources using shorter code words, extending parallelizability across all baseband processing blocks. THz channels exhibit quasi-deterministic frequency, time, and space structures that enable efficient parallel bit mapping at the source and provide pseudo-soft bit reliability information for efficient detection and decoding at the receiver.


Abstract:In multiple-input multiple-output (MIMO) wireless systems with frequency-flat channels, a single-antenna jammer causes receive interference that is confined to a one-dimensional subspace. Such a jammer can thus be nulled using linear spatial filtering at the cost of one degree of freedom. Frequency-selective channels are often transformed into multiple frequency-flat subcarriers with orthogonal frequency-division multiplexing (OFDM). We show that when a single-antenna jammer violates the OFDM protocol by not sending a cyclic prefix, the interference received on each subcarrier by a multi-antenna receiver is, in general, not confined to a subspace of dimension one (as a single-antenna jammer in a frequency-flat scenario would be), but of dimension L, where L is the jammer's number of channel taps. In MIMO-OFDM systems, a single-antenna jammer can therefore resemble an L-antenna jammer. Simulations corroborate our theoretical results. These findings imply that mitigating jammers with large delay spread through linear spatial filtering is infeasible. We discuss some (im)possibilities for the way forward.