



Abstract:We show that asymmetric deep recurrent neural networks, enhanced with additional sparse excitatory couplings, give rise to an exponentially large, dense accessible manifold of internal representations which can be found by different algorithms, including simple iterative dynamics. Building on the geometrical properties of the stable configurations, we propose a distributed learning scheme in which input-output associations emerge naturally from the recurrent dynamics, without any need of gradient evaluation. A critical feature enabling the learning process is the stability of the configurations reached at convergence, even after removal of the supervisory output signal. Extensive simulations demonstrate that this approach performs competitively on standard AI benchmarks. The model can be generalized in multiple directions, both computational and biological, potentially contributing to narrowing the gap between AI and computational neuroscience.




Abstract:We analyze the problem of sampling from the solution space of simple yet non-convex neural network models by employing a denoising diffusion process known as Algorithmic Stochastic Localization, where the score function is provided by Approximate Message Passing. We introduce a formalism based on the replica method to characterize the process in the infinite-size limit in terms of a few order parameters, and, in particular, we provide criteria for the feasibility of sampling. We show that, in the case of the spherical perceptron problem with negative stability, approximate uniform sampling is achievable across the entire replica symmetric region of the phase diagram. In contrast, for the binary perceptron, uniform sampling via diffusion invariably fails due to the overlap gap property exhibited by the typical set of solutions. We discuss the first steps in defining alternative measures that can be efficiently sampled.




Abstract:We study the binary and continuous negative-margin perceptrons as simple non-convex neural network models learning random rules and associations. We analyze the geometry of the landscape of solutions in both models and find important similarities and differences. Both models exhibit subdominant minimizers which are extremely flat and wide. These minimizers coexist with a background of dominant solutions which are composed by an exponential number of algorithmically inaccessible small clusters for the binary case (the frozen 1-RSB phase) or a hierarchical structure of clusters of different sizes for the spherical case (the full RSB phase). In both cases, when a certain threshold in constraint density is crossed, the local entropy of the wide flat minima becomes non-monotonic, indicating a break-up of the space of robust solutions into disconnected components. This has a strong impact on the behavior of algorithms in binary models, which cannot access the remaining isolated clusters. For the spherical case the behaviour is different, since even beyond the disappearance of the wide flat minima the remaining solutions are shown to always be surrounded by a large number of other solutions at any distance, up to capacity. Indeed, we exhibit numerical evidence that algorithms seem to find solutions up to the SAT/UNSAT transition, that we compute here using an 1RSB approximation. For both models, the generalization performance as a learning device is shown to be greatly improved by the existence of wide flat minimizers even when trained in the highly underconstrained regime of very negative margins.




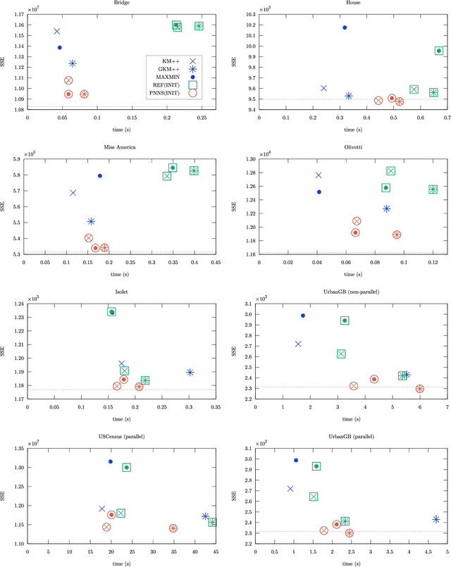
Abstract:We present a meta-method for initializing (seeding) the $k$-means clustering algorithm called PNN-smoothing. It consists in splitting a given dataset into $J$ random subsets, clustering each of them individually, and merging the resulting clusterings with the pairwise-nearest-neighbor (PNN) method. It is a meta-method in the sense that when clustering the individual subsets any seeding algorithm can be used. If the computational complexity of that seeding algorithm is linear in the size of the data $N$ and the number of clusters $k$, PNN-smoothing is also almost linear with an appropriate choice of $J$, and in fact only at most a few percent slower in most cases in practice. We show empirically, using several existing seeding methods and testing on several synthetic and real datasets, that this procedure results in systematically better costs. It can even be applied recursively, and easily parallelized. Our implementation is publicly available at https://github.com/carlobaldassi/KMeansPNNSmoothing.jl




Abstract:We systematize the approach to the investigation of deep neural network landscapes by basing it on the geometry of the space of implemented functions rather than the space of parameters. Grouping classifiers into equivalence classes, we develop a standardized parameterization in which all symmetries are removed, resulting in a toroidal topology. On this space, we explore the error landscape rather than the loss. This lets us derive a meaningful notion of the flatness of minimizers and of the geodesic paths connecting them. Using different optimization algorithms that sample minimizers with different flatness we study the mode connectivity and other characteristics. Testing a variety of state-of-the-art architectures and benchmark datasets, we confirm the correlation between flatness and generalization performance; we further show that in function space flatter minima are closer to each other and that the barriers along the geodesics connecting them are small. We also find that minimizers found by variants of gradient descent can be connected by zero-error paths with a single bend. We observe similar qualitative results in neural networks with binary weights and activations, providing one of the first results concerning the connectivity in this setting. Our results hinge on symmetry removal, and are in remarkable agreement with the rich phenomenology described by some recent analytical studies performed on simple shallow models.




Abstract:We apply digitized Quantum Annealing (QA) and Quantum Approximate Optimization Algorithm (QAOA) to a paradigmatic task of supervised learning in artificial neural networks: the optimization of synaptic weights for the binary perceptron. At variance with the usual QAOA applications to MaxCut, or to quantum spin-chains ground state preparation, the classical Hamiltonian is characterized by highly non-local multi-spin interactions. Yet, we provide evidence for the existence of optimal smooth solutions for the QAOA parameters, which are transferable among typical instances of the same problem, and we prove numerically an enhanced performance of QAOA over traditional QA. We also investigate on the role of the QAOA optimization landscape geometry in this problem, showing that the detrimental effect of a gap-closing transition encountered in QA is also negatively affecting the performance of our implementation of QAOA.




Abstract:Current deep neural networks are highly overparameterized (up to billions of connection weights) and nonlinear. Yet they can fit data almost perfectly through variants of gradient descent algorithms and achieve unexpected levels of prediction accuracy without overfitting. These are formidable results that escape the bias-variance predictions of statistical learning and pose conceptual challenges for non-convex optimization. In this paper, we use methods from statistical physics of disordered systems to analytically study the computational fallout of overparameterization in nonconvex neural network models. As the number of connection weights increases, we follow the changes of the geometrical structure of different minima of the error loss function and relate them to learning and generalisation performance. We find that there exist a gap between the SAT/UNSAT interpolation transition where solutions begin to exist and the point where algorithms start to find solutions, i.e. where accessible solutions appear. This second phase transition coincides with the discontinuous appearance of atypical solutions that are locally extremely entropic, i.e., flat regions of the weight space that are particularly solution-dense and have good generalization properties. Although exponentially rare compared to typical solutions (which are narrower and extremely difficult to sample), entropic solutions are accessible to the algorithms used in learning. We can characterize the generalization error of different solutions and optimize the Bayesian prediction, for data generated from a structurally different network. Numerical tests on observables suggested by the theory confirm that the scenario extends to realistic deep networks.




Abstract:The success of deep learning has revealed the application potential of neural networks across the sciences and opened up fundamental theoretical problems. In particular, the fact that learning algorithms based on simple variants of gradient methods are able to find near-optimal minima of highly nonconvex loss functions is an unexpected feature of neural networks which needs to be understood in depth. Such algorithms are able to fit the data almost perfectly, even in the presence of noise, and yet they have excellent predictive capabilities. Several empirical results have shown a reproducible correlation between the so-called flatness of the minima achieved by the algorithms and the generalization performance. At the same time, statistical physics results have shown that in nonconvex networks a multitude of narrow minima may coexist with a much smaller number of wide flat minima, which generalize well. Here we show that wide flat minima arise from the coalescence of minima that correspond to high-margin classifications. Despite being exponentially rare compared to zero-margin solutions, high-margin minima tend to concentrate in particular regions. These minima are in turn surrounded by other solutions of smaller and smaller margin, leading to dense regions of solutions over long distances. Our analysis also provides an alternative analytical method for estimating when flat minima appear and when algorithms begin to find solutions, as the number of model parameters varies.




Abstract:We analyze the connection between minimizers with good generalizing properties and high local entropy regions of a threshold-linear classifier in Gaussian mixtures with the mean squared error loss function. We show that there exist configurations that achieve the Bayes-optimal generalization error, even in the case of unbalanced clusters. We explore analytically the error-counting loss landscape in the vicinity of a Bayes-optimal solution, and show that the closer we get to such configurations, the higher the local entropy, implying that the Bayes-optimal solution lays inside a wide flat region. We also consider the algorithmically relevant case of targeting wide flat minima of the (differentiable) mean squared error loss. Our analytical and numerical results show not only that in the balanced case the dependence on the norm of the weights is mild, but also, in the unbalanced case, that the performances can be improved.



Abstract:Simulated Annealing is the crowning glory of Markov Chain Monte Carlo Methods for the solution of NP-hard optimization problems in which the cost function is known. Here, by replacing the Metropolis engine of Simulated Annealing with a reinforcement learning variation -- that we call Macau Algorithm -- we show that the Simulated Annealing heuristic can be very effective also when the cost function is unknown and has to be learned by an artificial agent.