



Abstract:Many explainable AI (XAI) techniques strive for interpretability by providing concise salient information, such as sparse linear factors. However, users either only see inaccurate global explanations, or highly-varying local explanations. We propose to provide more detailed explanations by leveraging the human cognitive capacity to accumulate knowledge by incrementally receiving more details. Focusing on linear factor explanations (factors $\times$ values = outcome), we introduce Incremental XAI to automatically partition explanations for general and atypical instances by providing Base + Incremental factors to help users read and remember more faithful explanations. Memorability is improved by reusing base factors and reducing the number of factors shown in atypical cases. In modeling, formative, and summative user studies, we evaluated the faithfulness, memorability and understandability of Incremental XAI against baseline explanation methods. This work contributes towards more usable explanation that users can better ingrain to facilitate intuitive engagement with AI.




Abstract:AI-driven Action Quality Assessment (AQA) of sports videos can mimic Olympic judges to help score performances as a second opinion or for training. However, these AI methods are uninterpretable and do not justify their scores, which is important for algorithmic accountability. Indeed, to account for their decisions, instead of scoring subjectively, sports judges use a consistent set of criteria - rubric - on multiple actions in each performance sequence. Therefore, we propose IRIS to perform Interpretable Rubric-Informed Segmentation on action sequences for AQA. We investigated IRIS for scoring videos of figure skating performance. IRIS predicts (1) action segments, (2) technical element score differences of each segment relative to base scores, (3) multiple program component scores, and (4) the summed final score. In a modeling study, we found that IRIS performs better than non-interpretable, state-of-the-art models. In a formative user study, practicing figure skaters agreed with the rubric-informed explanations, found them useful, and trusted AI judgments more. This work highlights the importance of using judgment rubrics to account for AI decisions.




Abstract:Generative AI models have shown impressive ability to produce images with text prompts, which could benefit creativity in visual art creation and self-expression. However, it is unclear how precisely the generated images express contexts and emotions from the input texts. We explored the emotional expressiveness of AI-generated images and developed RePrompt, an automatic method to refine text prompts toward precise expression of the generated images. Inspired by crowdsourced editing strategies, we curated intuitive text features, such as the number and concreteness of nouns, and trained a proxy model to analyze the feature effects on the AI-generated image. With model explanations of the proxy model, we curated a rubric to adjust text prompts to optimize image generation for precise emotion expression. We conducted simulation and user studies, which showed that RePrompt significantly improves the emotional expressiveness of AI-generated images, especially for negative emotions.




Abstract:Many visualizations have been developed for explainable AI (XAI), but they often require further reasoning by users to interpret. We argue that XAI should support abductive reasoning - inference to the best explanation - with diagrammatic reasoning to convey hypothesis generation and evaluation. Inspired by Peircean diagrammatic reasoning and the 5-step abduction process, we propose Diagrammatization, an approach to provide diagrammatic, abductive explanations based on domain hypotheses. We implemented DiagramNet for a clinical application to predict diagnoses from heart auscultation, and explain with shape-based murmur diagrams. In modeling studies, we found that DiagramNet not only provides faithful murmur shape explanations, but also has better prediction performance than baseline models. We further demonstrate the usefulness of diagrammatic explanations in a qualitative user study with medical students, showing that clinically-relevant, diagrammatic explanations are preferred over technical saliency map explanations. This work contributes insights into providing domain-conventional abductive explanations for user-centric XAI.
Abstract:Model explanations such as saliency maps can improve user trust in AI by highlighting important features for a prediction. However, these become distorted and misleading when explaining predictions of images that are subject to systematic error (bias). Furthermore, the distortions persist despite model fine-tuning on images biased by different factors (blur, color temperature, day/night). We present Debiased-CAM to recover explanation faithfulness across various bias types and levels by training a multi-input, multi-task model with auxiliary tasks for explanation and bias level predictions. In simulation studies, the approach not only enhanced prediction accuracy, but also generated highly faithful explanations about these predictions as if the images were unbiased. In user studies, debiased explanations improved user task performance, perceived truthfulness and perceived helpfulness. Debiased training can provide a versatile platform for robust performance and explanation faithfulness for a wide range of applications with data biases.




Abstract:Machine learning models need to provide contrastive explanations, since people often seek to understand why a puzzling prediction occurred instead of some expected outcome. Current contrastive explanations are rudimentary comparisons between examples or raw features, which remain difficult to interpret, since they lack semantic meaning. We argue that explanations must be more relatable to other concepts, hypotheticals, and associations. Inspired by the perceptual process from cognitive psychology, we propose the XAI Perceptual Processing Framework and RexNet model for relatable explainable AI with Contrastive Saliency, Counterfactual Synthetic, and Contrastive Cues explanations. We investigated the application of vocal emotion recognition, and implemented a modular multi-task deep neural network to predict and explain emotions from speech. From think-aloud and controlled studies, we found that counterfactual explanations were useful and further enhanced with semantic cues, but not saliency explanations. This work provides insights into providing and evaluating relatable contrastive explainable AI for perception applications.




Abstract:Feedback can help crowdworkers to improve their ideations. However, current feedback methods require human assessment from facilitators or peers. This is not scalable to large crowds. We propose Interpretable Directed Diversity to automatically predict ideation quality and diversity scores, and provide AI explanations - Attribution, Contrastive Attribution, and Counterfactual Suggestions - for deeper feedback on why ideations were scored (low), and how to get higher scores. These explanations provide multi-faceted feedback as users iteratively improve their ideation. We conducted think aloud and controlled user studies to understand how various explanations are used, and evaluated whether explanations improve ideation diversity and quality. Users appreciated that explanation feedback helped focus their efforts and provided directions for improvement. This resulted in explanations improving diversity compared to no feedback or feedback with predictions only. Hence, our approach opens opportunities for explainable AI towards scalable and rich feedback for iterative crowd ideation.




Abstract:The successful deployment of artificial intelligence (AI) in many domains from healthcare to hiring requires their responsible use, particularly in model explanations and privacy. Explainable artificial intelligence (XAI) provides more information to help users to understand model decisions, yet this additional knowledge exposes additional risks for privacy attacks. Hence, providing explanation harms privacy. We study this risk for image-based model inversion attacks and identified several attack architectures with increasing performance to reconstruct private image data from model explanations. We have developed several multi-modal transposed CNN architectures that achieve significantly higher inversion performance than using the target model prediction only. These XAI-aware inversion models were designed to exploit the spatial knowledge in image explanations. To understand which explanations have higher privacy risk, we analyzed how various explanation types and factors influence inversion performance. In spite of some models not providing explanations, we further demonstrate increased inversion performance even for non-explainable target models by exploiting explanations of surrogate models through attention transfer. This method first inverts an explanation from the target prediction, then reconstructs the target image. These threats highlight the urgent and significant privacy risks of explanations and calls attention for new privacy preservation techniques that balance the dual-requirement for AI explainability and privacy.




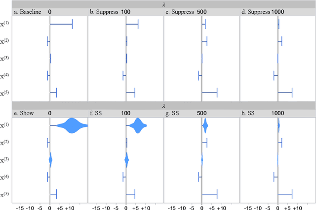
Abstract:Feature attribution is widely used in interpretable machine learning to explain how influential each measured input feature value is for an output inference. However, measurements can be uncertain, and it is unclear how the awareness of input uncertainty can affect the trust in explanations. We propose and study two approaches to help users to manage their perception of uncertainty in a model explanation: 1) transparently show uncertainty in feature attributions to allow users to reflect on, and 2) suppress attribution to features with uncertain measurements and shift attribution to other features by regularizing with an uncertainty penalty. Through simulation experiments, qualitative interviews, and quantitative user evaluations, we identified the benefits of moderately suppressing attribution uncertainty, and concerns regarding showing attribution uncertainty. This work adds to the understanding of handling and communicating uncertainty for model interpretability.




Abstract:Class activation maps (CAMs) explain convolutional neural network predictions by identifying salient pixels, but they become misaligned and misleading when explaining predictions on images under bias, such as images blurred accidentally or deliberately for privacy protection, or images with improper white balance. Despite model fine-tuning to improve prediction performance on these biased images, we demonstrate that CAM explanations become more deviated and unfaithful with increased image bias. We present Debiased-CAM to recover explanation faithfulness across various bias types and levels by training a multi-input, multi-task model with auxiliary tasks for CAM and bias level predictions. With CAM as a prediction task, explanations are made tunable by retraining the main model layers and made faithful by self-supervised learning from CAMs of unbiased images. The model provides representative, bias-agnostic CAM explanations about the predictions on biased images as if generated from their unbiased form. In four simulation studies with different biases and prediction tasks, Debiased-CAM improved both CAM faithfulness and task performance. We further conducted two controlled user studies to validate its truthfulness and helpfulness, respectively. Quantitative and qualitative analyses of participant responses confirmed Debiased-CAM as more truthful and helpful. Debiased-CAM thus provides a basis to generate more faithful and relevant explanations for a wide range of real-world applications with various sources of bias.