Abstract:Weakly Supervised Anomaly detection (WSAD) in brain MRI scans is an important challenge useful to obtain quick and accurate detection of brain anomalies when precise pixel-level anomaly annotations are unavailable and only weak labels (e.g., slice-level) are available. In this work, we propose RASALoRE: Region Aware Spatial Attention with Location-based Random Embeddings, a novel two-stage WSAD framework. In the first stage, we introduce a Discriminative Dual Prompt Tuning (DDPT) mechanism that generates high-quality pseudo weak masks based on slice-level labels, serving as coarse localization cues. In the second stage, we propose a segmentation network with a region-aware spatial attention mechanism that relies on fixed location-based random embeddings. This design enables the model to effectively focus on anomalous regions. Our approach achieves state-of-the-art anomaly detection performance, significantly outperforming existing WSAD methods while utilizing less than 8 million parameters. Extensive evaluations on the BraTS20, BraTS21, BraTS23, and MSD datasets demonstrate a substantial performance improvement coupled with a significant reduction in computational complexity. Code is available at: https://github.com/BheeshmSharma/RASALoRE-BMVC-2025/.
Abstract:Sign language to spoken language audio translation is important to connect the hearing- and speech-challenged humans with others. We consider sign language videos with isolated sign sequences rather than continuous grammatical signing. Such videos are useful in educational applications and sign prompt interfaces. Towards this, we propose IsoSignVid2Aud, a novel end-to-end framework that translates sign language videos with a sequence of possibly non-grammatic continuous signs to speech without requiring intermediate text representation, providing immediate communication benefits while avoiding the latency and cascading errors inherent in multi-stage translation systems. Our approach combines an I3D-based feature extraction module with a specialized feature transformation network and an audio generation pipeline, utilizing a novel Non-Maximal Suppression (NMS) algorithm for the temporal detection of signs in non-grammatic continuous sequences. Experimental results demonstrate competitive performance on ASL-Citizen-1500 and WLASL-100 datasets with Top-1 accuracies of 72.01\% and 78.67\%, respectively, and audio quality metrics (PESQ: 2.67, STOI: 0.73) indicating intelligible speech output. Code is available at: https://github.com/BheeshmSharma/IsoSignVid2Aud_AIMLsystems-2025.




Abstract:Brain MRI scans are often found in four modalities, consisting of T1-weighted with and without contrast enhancement (T1ce and T1w), T2-weighted imaging (T2w), and Flair. Leveraging complementary information from these different modalities enables models to learn richer, more discriminative features for understanding brain anatomy, which could be used in downstream tasks such as anomaly detection. However, in clinical practice, not all MRI modalities are always available due to various reasons. This makes missing modality generation a critical challenge in medical image analysis. In this paper, we propose SLaM-DiMM, a novel missing modality generation framework that harnesses the power of diffusion models to synthesize any of the four target MRI modalities from other available modalities. Our approach not only generates high-fidelity images but also ensures structural coherence across the depth of the volume through a dedicated coherence enhancement mechanism. Qualitative and quantitative evaluations on the BraTS-Lighthouse-2025 Challenge dataset demonstrate the effectiveness of the proposed approach in synthesizing anatomically plausible and structurally consistent results. Code is available at https://github.com/BheeshmSharma/SLaM-DiMM-MICCAI-BraTS-Challenge-2025.




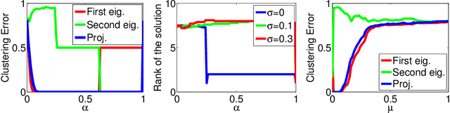
Abstract:Clustering high-dimensional data often requires some form of dimensionality reduction, where clustered variables are separated from "noise-looking" variables. We cast this problem as finding a low-dimensional projection of the data which is well-clustered. This yields a one-dimensional projection in the simplest situation with two clusters, and extends naturally to a multi-label scenario for more than two clusters. In this paper, (a) we first show that this joint clustering and dimension reduction formulation is equivalent to previously proposed discriminative clustering frameworks, thus leading to convex relaxations of the problem, (b) we propose a novel sparse extension, which is still cast as a convex relaxation and allows estimation in higher dimensions, (c) we propose a natural extension for the multi-label scenario, (d) we provide a new theoretical analysis of the performance of these formulations with a simple probabilistic model, leading to scalings over the form $d=O(\sqrt{n})$ for the affine invariant case and $d=O(n)$ for the sparse case, where $n$ is the number of examples and $d$ the ambient dimension, and finally, (e) we propose an efficient iterative algorithm with running-time complexity proportional to $O(nd^2)$, improving on earlier algorithms which had quadratic complexity in the number of examples.