Abstract:Background: Pneumonia remains a leading cause of morbidity and mortality among children worldwide, emphasizing the need for accurate and efficient diagnostic support tools. Deep learning has shown strong potential in medical image analysis, particularly for chest X-ray interpretation. This study compares two state-of-the-art convolutional neural network (CNN) architectures for automated pediatric pneumonia detection. Methods: A publicly available dataset of 5,863 pediatric chest X-ray images was used. Images were preprocessed through normalization, resizing, and data augmentation to enhance generalization. DenseNet121 and EfficientNet-B0 were fine-tuned using pretrained ImageNet weights under identical training settings. Performance was evaluated using accuracy, F1-score, Matthews Correlation Coefficient (MCC), and recall. Model explainability was incorporated using Gradient-weighted Class Activation Mapping (Grad-CAM) and Local Interpretable Model-agnostic Explanations (LIME) to visualize image regions influencing predictions. Results: EfficientNet-B0 outperformed DenseNet121, achieving an accuracy of 84.6%, F1-score of 0.8899, and MCC of 0.6849. DenseNet121 achieved 79.7% accuracy, an F1-score of 0.8597, and MCC of 0.5852. Both models demonstrated high recall values above 0.99, indicating strong sensitivity to pneumonia detection. Grad-CAM and LIME visualizations showed consistent focus on clinically relevant lung regions, supporting the reliability of model decisions. Conclusions: EfficientNet-B0 provided a more balanced and computationally efficient performance compared to DenseNet121, making it a strong candidate for clinical deployment. The integration of explainability techniques enhances transparency and trustworthiness in AI-assisted pediatric pneumonia diagnosis.
Abstract:AI models have garnered significant research attention towards predictive task automation. However, a stationary training environment is an underlying assumption for most models and such models simply do not work on non-stationary data since a stationary relationship is learned. The existing solutions propose making data stationary prior to model training and evaluation. This leads to loss of trend and seasonal patterns which are vital components for learning temporal dependencies of the system under study. This research aims to address this limitation by proposing a method for enforcing stationary behaviour within the latent space while preserving trend and seasonal information. The method deploys techniques including Differencing, Time-series decomposition, and Latent Space Arithmetic (LSA), to learn information vital for efficient approximation of trend and seasonal information which is then stored as embeddings within the latent space of a Variational Autoencoder (VAE). The approach's ability to preserve trend and seasonal information was evaluated on two time-series non-stationary datasets. For predictive performance evaluation, four deep learning models were trained on the latent vector representations of the datasets after application of the proposed method and all models produced competitive results in comparison with state-of-the-art techniques using RMSE as the performance metric.
Abstract:Despite the demonstrated effectiveness of transformer models in NLP, and image and video classification, the available tools for extracting features from captured IoT network flow packets fail to capture sequential patterns in addition to the absence of spatial patterns consequently limiting transformer model application. This work introduces a novel preprocessing method to adapt transformer models, the vision transformer (ViT) in particular, for IoT botnet attack detection using network flow packets. The approach involves feature extraction from .pcap files and transforming each instance into a 1-channel 2D image shape, enabling ViT-based classification. Also, the ViT model was enhanced to allow use any classifier besides Multilayer Perceptron (MLP) that was deployed in the initial ViT paper. Models including the conventional feed forward Deep Neural Network (DNN), LSTM and Bidirectional-LSTM (BLSTM) demonstrated competitive performance in terms of precision, recall, and F1-score for multiclass-based attack detection when evaluated on two IoT attack datasets.
Abstract:The rapid evolution of Internet of Things (IoT) technology has led to a significant increase in the number of IoT devices, applications, and services. This surge in IoT devices, along with their widespread presence, has made them a prime target for various cyber-attacks, particularly through IoT botnets. As a result, security has become a major concern within the IoT ecosystem. This study focuses on investigating how the latent dimension impacts the performance of different deep learning classifiers when trained on latent vector representations of the train dataset. The primary objective is to compare the outcomes of these models when encoder components from two cutting-edge architectures: the Vision Transformer (ViT) and the Variational Auto-Encoder (VAE) are utilized to project the high dimensional train dataset to the learned low dimensional latent space. The encoder components are employed to project high-dimensional structured .csv IoT botnet traffic datasets to various latent sizes. Evaluated on N-BaIoT and CICIoT2022 datasets, findings reveal that VAE-encoder based dimension reduction outperforms ViT-encoder based dimension reduction for both datasets in terms of four performance metrics including accuracy, precision, recall, and F1-score for all models which can be attributed to absence of spatial patterns in the datasets the ViT model attempts to learn and extract from image instances.




Abstract:Safety is the main concern in the aviation industry, where even minor operational issues can lead to serious consequences. This study addresses the need for comprehensive aviation accident analysis by leveraging natural language processing (NLP) and advanced AI models to classify the phase of flight from unstructured aviation accident analysis narratives. The research aims to determine whether the phase of flight can be inferred from narratives of post-accident events using NLP techniques. The classification performance of various deep learning models was evaluated. For single RNN-based models, LSTM achieved an accuracy of 63%, precision 60%, and recall 61%. BiLSTM recorded an accuracy of 64%, precision 63%, and a recall of 64%. GRU exhibited balanced performance with an accuracy and recall of 60% and a precision of 63%. Joint RNN-based models further enhanced predictive capabilities. GRU-LSTM, LSTM-BiLSTM, and GRU-BiLSTM demonstrated accuracy rates of 62%, 67%, and 60%, respectively, showcasing the benefits of combining these architectures. To provide a comprehensive overview of model performance, single and combined models were compared in terms of the various metrics. These results underscore the models' capacity to classify the phase of flight from raw text narratives, equipping aviation industry stakeholders with valuable insights for proactive decision-making. Therefore, this research signifies a substantial advancement in the application of NLP and deep learning models to enhance aviation safety.




Abstract:Aviation safety is a global concern, requiring detailed investigations into incidents to understand contributing factors comprehensively. This study uses the National Transportation Safety Board (NTSB) dataset. It applies advanced natural language processing (NLP) techniques, including Latent Dirichlet Allocation (LDA), Non-Negative Matrix Factorization (NMF), Latent Semantic Analysis (LSA), Probabilistic Latent Semantic Analysis (pLSA), and K-means clustering. The main objectives are identifying latent themes, exploring semantic relationships, assessing probabilistic connections, and cluster incidents based on shared characteristics. This research contributes to aviation safety by providing insights into incident narratives and demonstrating the versatility of NLP and topic modelling techniques in extracting valuable information from complex datasets. The results, including topics identified from various techniques, provide an understanding of recurring themes. Comparative analysis reveals that LDA performed best with a coherence value of 0.597, pLSA of 0.583, LSA of 0.542, and NMF of 0.437. K-means clustering further reveals commonalities and unique insights into incident narratives. In conclusion, this study uncovers latent patterns and thematic structures within incident narratives, offering a comparative analysis of multiple-topic modelling techniques. Future research avenues include exploring temporal patterns, incorporating additional datasets, and developing predictive models for early identification of safety issues. This research lays the groundwork for enhancing the understanding and improvement of aviation safety by utilising the wealth of information embedded in incident narratives.




Abstract:Aviation safety is paramount, demanding precise analysis of safety occurrences during different flight phases. This study employs Natural Language Processing (NLP) and Deep Learning models, including LSTM, CNN, Bidirectional LSTM (BLSTM), and simple Recurrent Neural Networks (sRNN), to classify flight phases in safety reports from the Australian Transport Safety Bureau (ATSB). The models exhibited high accuracy, precision, recall, and F1 scores, with LSTM achieving the highest performance of 87%, 88%, 87%, and 88%, respectively. This performance highlights their effectiveness in automating safety occurrence analysis. The integration of NLP and Deep Learning technologies promises transformative enhancements in aviation safety analysis, enabling targeted safety measures and streamlined report handling.




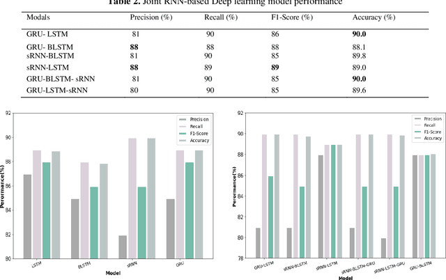
Abstract:Safety is a critical aspect of the air transport system given even slight operational anomalies can result in serious consequences. To reduce the chances of aviation safety occurrences, accidents and incidents are reported to establish the root cause, propose safety recommendations etc. However, analysis narratives of the pre-accident events are presented using human-understandable, raw, unstructured, text that a computer system cannot understand. The ability to classify and categorise safety occurrences from their textual narratives would help aviation industry stakeholders make informed safety-critical decisions. To classify and categorise safety occurrences, we applied natural language processing (NLP) and AI (Artificial Intelligence) models to process text narratives. The study aimed to answer the question. How well can the damage level caused to the aircraft in a safety occurrence be inferred from the text narrative using natural language processing. The classification performance of various deep learning models including LSTM, BLSTM, GRU, sRNN, and combinations of these models including LSTM and GRU, BLSTM+GRU, sRNN and LSTM, sRNN and BLSTM, sRNN and GRU, sRNN and BLSTM and GRU, and sRNN and LSTM and GRU was evaluated on a set of 27,000 safety occurrence reports from the NTSB. The results of this study indicate that all models investigated performed competitively well recording an accuracy of over 87.9% which is well above the random guess of 25% for a four-class classification problem. Also, the models recorded high precision, recall, and F1 scores above 80%, 88%, and 85%, respectively. sRNN slightly outperformed other single models in terms of recall (90%) and accuracy (90%) while LSTM reported slightly better performance in terms of precision (87%).



Abstract:The air transport system recognizes the criticality of safety, as even minor anomalies can have severe consequences. Reporting accidents and incidents play a vital role in identifying their causes and proposing safety recommendations. However, the narratives describing pre-accident events are presented in unstructured text that is not easily understood by computer systems. Classifying and categorizing safety occurrences based on these narratives can support informed decision-making by aviation industry stakeholders. In this study, researchers applied natural language processing (NLP) and artificial intelligence (AI) models to process text narratives to classify the flight phases of safety occurrences. The classification performance of two deep learning models, ResNet and sRNN was evaluated, using an initial dataset of 27,000 safety occurrence reports from the NTSB. The results demonstrated good performance, with both models achieving an accuracy exceeding 68%, well above the random guess rate of 14% for a seven-class classification problem. The models also exhibited high precision, recall, and F1 scores. The sRNN model greatly outperformed the simplified ResNet model architecture used in this study. These findings indicate that NLP and deep learning models can infer the flight phase from raw text narratives, enabling effective analysis of safety occurrences.




Abstract:This study explores the application of topic modelling techniques Latent Dirichlet Allocation (LDA), Nonnegative Matrix Factorization (NMF), and Probabilistic Latent Semantic Analysis (PLSA) on the Socrata dataset spanning from 1908 to 2009. Categorized by operator type (military, commercial, and private), the analysis identified key themes such as pilot error, mechanical failure, weather conditions, and training deficiencies. The study highlights the unique strengths of each method: LDA ability to uncover overlapping themes, NMF production of distinct and interpretable topics, and PLSA nuanced probabilistic insights despite interpretative complexity. Statistical analysis revealed that PLSA achieved a coherence score of 0.32 and a perplexity value of -4.6, NMF scored 0.34 and 37.1, while LDA achieved the highest coherence of 0.36 but recorded the highest perplexity at 38.2. These findings demonstrate the value of topic modelling in extracting actionable insights from unstructured aviation safety narratives, aiding in the identification of risk factors and areas for improvement across sectors. Future directions include integrating additional contextual variables, leveraging neural topic models, and enhancing aviation safety protocols. This research provides a foundation for advanced text-mining applications in aviation safety management.