



Abstract:Over-the-air federated learning (OTA-FL) offers an exciting new direction over classical FL by averaging model weights using the physics of analog signal propagation. Since each participant broadcasts its model weights concurrently in time and frequency, this paradigm conserves communication bandwidth and model upload latency. Despite its potential, there is no prior large-scale demonstration on a real-world experimental platform. This paper proves for the first time that OTA-FL can be deployed in a cellular network setting within the constraints of a 5G compliant waveform. To achieve this, we identify challenges caused by multi-path fading effects, thermal noise at the radio devices, and maintaining highly precise synchronization across multiple clients to perform coherent OTA combining. To address these challenges, we propose a unified framework for real-time channel estimation, model weight to OFDM symbol mapping and dual-layer synchronization interface to perform OTA model training. We experimentally validate OTA-FL using two relevant applications - Channel Estimation and Object Classification, at a large-scale on ORBIT Testbed and a portable setup respectively, along with analyzing the benefits from the perspective of a telecom operator. Under specific experimental conditions, OTA-FL achieves equivalent model performance, supplemented with 43 times improvement in spectrum utilization and 7 times improvement in energy efficiency over classical FL when considering 5 nodes.





Abstract:This study considers a UAV-assisted multi-user massive multiple-input multiple-output (MU-mMIMO) systems, where a decode-and-forward (DF) relay in the form of an unmanned aerial vehicle (UAV) facilitates the transmission of multiple data streams from a base station (BS) to multiple Internet-of-Things (IoT) users. A joint optimization problem of hybrid beamforming (HBF), UAV relay positioning, and power allocation (PA) to multiple IoT users to maximize the total achievable rate (AR) is investigated. The study adopts a geometry-based millimeter-wave (mmWave) channel model for both links and proposes three different swarm intelligence (SI)-based algorithmic solutions to optimize: 1) UAV location with equal PA; 2) PA with fixed UAV location; and 3) joint PA with UAV deployment. The radio frequency (RF) stages are designed to reduce the number of RF chains based on the slow time-varying angular information, while the baseband (BB) stages are designed using the reduced-dimension effective channel matrices. Then, a novel deep learning (DL)-based low-complexity joint hybrid beamforming, UAV location and power allocation optimization scheme (J-HBF-DLLPA) is proposed via fully-connected deep neural network (DNN), consisting of an offline training phase, and an online prediction of UAV location and optimal power values for maximizing the AR. The illustrative results show that the proposed algorithmic solutions can attain higher capacity and reduce average delay for delay-constrained transmissions in a UAV-assisted MU-mMIMO IoT systems. Additionally, the proposed J-HBF-DLLPA can closely approach the optimal capacity while significantly reducing the runtime by 99%, which makes the DL-based solution a promising implementation for real-time online applications in UAV-assisted MU-mMIMO IoT systems.





Abstract:This study considers a novel full-duplex (FD) massive multiple-input multiple-output (mMIMO) system using hybrid beamforming (HBF) architecture, which allows for simultaneous uplink (UL) and downlink (DL) transmission over the same frequency band. Particularly, our objective is to mitigate the strong self-interference (SI) solely on the design of UL and DL RF beamforming stages jointly with sub-array selection (SAS) for transmit (Tx) and receive (Rx) sub-arrays at base station (BS). Based on the measured SI channel in an anechoic chamber, we propose a min-SI beamforming scheme with SAS, which applies perturbations to the beam directivity to enhance SI suppression in UL and DL beam directions. To solve this challenging nonconvex optimization problem, we propose a swarm intelligence-based algorithmic solution to find the optimal perturbations as well as the Tx and Rx sub-arrays to minimize SI subject to the directivity degradation constraints for the UL and DL beams. The results show that the proposed min-SI BF scheme can achieve SI suppression as high as 78 dB in FD mMIMO systems.

Abstract:This paper investigates the effect of various antenna array structures, i.e., uniform linear array (ULA), uniform rectangular array (URA), uniform circular array (UCA), and concentric circular array (CCA), on cluster index modulation (CIM) enabled massive multiple-input multiple-output (mMIMO) millimeter-wave (mmWave) communications systems. As the CIM technique indexes spatial clusters to convey additional information bits, the different radiation characteristics caused by different array structures can significantly affect system performance. By analyzing the effects of array characteristics such as radiation pattern, array directivity, half-power beam width (HPBW), and radiation side lobes on bit error rate (BER) performance, we reveal that URA achieves better error performance than its counterparts in a CIM-enabled mmWave system. We demonstrate that narrower beams alone cannot guarantee better BER performance in a CIM-based system. Instead, other radiation characteristics, especially radiation side lobes, can significantly influence system performance by entailing extra interference in the non-intended directions. Illustrative results show that URA owes its superiority to its lower side lobes. We also propose an algorithm to implement fixed phase shifters (FPS) as a hardware-efficient (HE) analog network structure (beamformer/combiner) to reduce cost and energy consumption in mmWave systems and investigate the effect of a non-ideal analog network on the BER performance for different array structures. It is demonstrated that HE systems with a few FPSs can achieve similar BER performance compared to the optimum (OP) analog network structure.

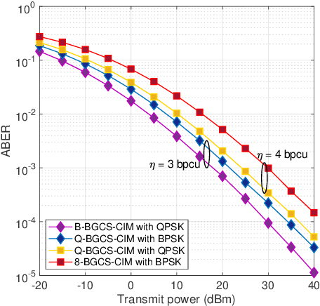
Abstract:In this paper, we propose a transmission mechanism for a reconfigurable intelligent surface (RIS)-assisted millimeter wave (mmWave) system based on cluster index modulation (CIM), named best-gain optimized cluster selection CIM (BGCS-CIM). The proposed BGCS-CIM scheme considers effective cluster power gain and spatial diversity gain obtained by the additional paths within the indexed cluster to construct an efficient codebook. We also integrate the proposed scheme into a practical system model to create a virtual path between transmitter and receiver where the direct link has been blocked. Thanks to the designed whitening filter, a closed-form expression for the upper bound on the average bit error rate (ABER) is derived and used to validate the simulation results. It has been shown that the proposed BGCS-CIM scheme outperforms the existing benchmarks thanks to its higher effective cluster gain, spatial diversity of indexed clusters, and lower inter-cluster interference.





Abstract:This paper proposes a reconfigurable intelligent surface (RIS)-aided and angular-based hybrid beamforming (AB-HBF) technique for the millimeter wave (mmWave) massive multiple-input multiple-output (MIMO) systems. The proposed RIS-AB-HBF architecture consists of three stages: (i) RF beamformer, (ii) baseband (BB) precoder/combiner, and (iii) RIS phase shift design. First, in order to reduce the number of RF chains and the channel estimation overhead, RF beamformers are designed based on the 3D geometry-based mmWave channel model using slow time-varying angular parameters of the channel. Second, a BB precoder/combiner is designed by exploiting the reduced-size effective channel seen from the BB stages. Then, the phase shifts of the RIS are adjusted to maximize the achievable rate of the system via the nature-inspired particle swarm optimization (PSO) algorithm. Illustrative simulation results demonstrate that the use of RISs in the AB-HBF systems has the potential to provide more promising advantages in terms of reliability and flexibility in system design.





Abstract:This paper proposes a novel nature-inspired $\alpha$-fair hybrid precoding (NI-$\alpha$HP) technique for millimeter-wave multi-user massive multiple-input multiple-output systems. Unlike the existing HP literature, we propose to apply $\alpha$-fairness for maintaining various fairness expectations (e.g., sum-rate maximization, proportional fairness, max-min fairness, etc.). After developing the analog RF beamformer via slow time-varying angular information, the digital baseband (BB) precoder is designed via the reduced-dimensional effective channel matrix seen from the BB-stage. For the $\alpha$-fairness, we derive the optimal digital BB precoder expression with a set of parameters, where optimizing them is an NP-hard problem. Hence, we efficiently optimize the parameters in the digital BB precoder via five nature-inspired intelligent algorithms. Numerical results present that when the sum-rate maximization is the target, the proposed NI-$\alpha$HP technique greatly improves the sum-rate capacity and energy-efficiency performance compared to other benchmarks. Moreover, NI-$\alpha$HP supports different fairness expectations and reduces the rate gap among UEs by varying the fairness level ($\alpha$).





Abstract:This paper develops a new genetic algorithm based resource allocation (GA-RA) technique for energy-efficient throughout maximization in multi-user massive multiple-input multiple-output (MU-mMIMO) systems using orthogonal frequency division multiplexing (OFDM) based transmission. We employ a hybrid precoding (HP) architecture with three stages: (i) radio frequency (RF) beamformer, (ii) baseband (BB) precoder, (iii) resource allocation (RA) block. First, a single RF beamformer block is built for all subcarriers via the slow time-varying angle-of-departure (AoD) information. For enhancing the energy efficiency, the RF beamformer aims to reduce the hardware cost/complexity and total power consumption via a low number of RF chains. Afterwards, the reduced-size effective channel state information (CSI) is utilized in the design of a distinct BB precoder and RA block for each subcarrier. The BB precoder is developed via regularized zero-forcing technique. Finally, the RA block is built via the proposed GA-RA technique for throughput maximization by allocating the power and subcarrier resources. The illustrative results show that the throughput performance in the MU-mMIMO-OFDM systems is greatly enhanced via the proposed GA-RA technique compared to both equal RA (EQ-RA) and particle swarm optimization based RA (PSO-RA). Moreover, the performance gain ratio increases with the increasing number of subcarriers, particularly for low transmission powers.





Abstract:This paper presents a novel channel estimation technique for the multi-user massive multiple-input multiple-output (MU-mMIMO) systems using angular-based hybrid precoding (AB-HP). The proposed channel estimation technique generates group-wise channel state information (CSI) of user terminal (UT) zones in the service area by deep neural networks (DNN) and fuzzy c-Means (FCM) clustering. The slow time-varying CSI between the base station (BS) and feasible UT locations in the service area is calculated from the geospatial data by offline ray tracing and a DNN-based path estimation model associated with the 1-dimensional convolutional neural network (1D-CNN) and regression tree ensembles. Then, the UT-level CSI of all feasible locations is grouped into clusters by a proposed FCM clustering. Finally, the service area is divided into a number of non-overlapping UT zones. Each UT zone is characterized by a corresponding set of clusters named as UT-group CSI, which is utilized in the analog RF beamformer design of AB-HP to reduce the required large online CSI overhead in the MU-mMIMO systems. Then, the reduced-size online CSI is employed in the baseband (BB) precoder of AB-HP. Simulations are conducted in the indoor scenario at 28 GHz and tested in an AB-HP MU-mMIMO system with a uniform rectangular array (URA) having 16x16=256 antennas and 22 RF chains. Illustrative results indicate that 91.4% online CSI can be reduced by using the proposed offline channel estimation technique as compared to the conventional online channel sounding. The proposed DNN-based path estimation technique produces same amount of UT-level CSI with runtime reduced by 65.8% as compared to the computationally expensive ray tracing.





Abstract:In this paper, a novel full-duplex non-coherent (FD-NC) transmission scheme is developed for massive multiple-input multiple-output (mMIMO) systems using analog beamforming (ABF). We propose to use a structured Grassmannian constellation for the non-coherent communications that does not require channel estimation. Then, we design the transmit and receive ABF via the slow time-varying angle-of-departure (AoD) and angle-of-arrival (AoA) information, respectively. The ABF design targets maximizing the intended signal power while suppressing the strong self-interference (SI) occurred in the FD transmission. Also, the proposed ABF technique only needs a single transmit and receive RF chain to support large antenna arrays, thus, it reduces hardware cost/complexity in the mMIMO systems. It is shown that the proposed FD-NC offers a great improvement in bit error rate (BER) in comparison to both half-duplex non-coherent (HD-NC) and HD coherent schemes. We also observe that the proposed FD-NC both reduces the error floor resulted from the residual SI in FD transmission, and provides lower BER compared to the FD coherent transmission.
