



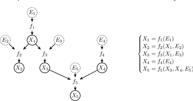
Abstract:We introduce a new approach to functional causal modeling from observational data. The approach, called Causal Generative Neural Networks (CGNN), leverages the power of neural networks to learn a generative model of the joint distribution of the observed variables, by minimizing the Maximum Mean Discrepancy between generated and observed data. An approximate learning criterion is proposed to scale the computational cost of the approach to linear complexity in the number of observations. The performance of CGNN is studied throughout three experiments. First, we apply CGNN to the problem of cause-effect inference, where two CGNNs model $P(Y|X,\textrm{noise})$ and $P(X|Y,\textrm{noise})$ identify the best causal hypothesis out of $X\rightarrow Y$ and $Y\rightarrow X$. Second, CGNN is applied to the problem of identifying v-structures and conditional independences. Third, we apply CGNN to problem of multivariate functional causal modeling: given a skeleton describing the dependences in a set of random variables $\{X_1, \ldots, X_d\}$, CGNN orients the edges in the skeleton to uncover the directed acyclic causal graph describing the causal structure of the random variables. On all three tasks, CGNN is extensively assessed on both artificial and real-world data, comparing favorably to the state-of-the-art. Finally, we extend CGNN to handle the case of confounders, where latent variables are involved in the overall causal model.